定義
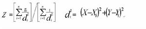
IDW(Inverse Distance Weighted)是一種常用而簡便的空間插值方法,它以插值點與樣本點間的距離為權重進行加權平均,離插值點越近的樣本點賦予的權重越大。 設平面上分布一系列離散點,已知其坐標和值為Xi,Yi, Zi (i =1,2,…,n)通過距離加權值求z點值,則z值見右上圖公式。
IDW通過對鄰近區域的每個採樣點值平均運算獲得內插單元。這一方法要求離散點均勻分布,並且密度程度足以滿足在分析中反映局部表面變化。
實現過程
1)單擊Spatial Analyst 下拉箭頭,單擊Interpolate to Raster,在一級選單中單擊Inverse Distance Weighted命令,打開IDW對話框。
2)單擊Input points下拉箭頭,選擇參加內插計算的點數據集。
3)單擊Z value field下拉箭頭, 選擇參加內插計算的欄位名稱。
4)在Power文本框中輸入的IDW冪值。
5)單擊Search radius type下拉箭頭,選擇搜尋半徑類型。
6)用Use barriers polylines選擇河流、湖泊、水庫等中斷線檔案,限制插值計算。
7)用Output cell size控制輸出結果的柵格大小。
8)用Output raster文本框輸入結果檔案名稱稱。

