反應機理
反應過程可能是一分子b-羰基酸酯和醛反應,另一分子b-羰基酸酯和氨反應生成b-氨基烯酸酯,所生成的這兩個化合物再發生Micheal加成反應,然後失水關環生成二氫吡啶衍生物,它很溶液脫氫而芳構化,例如用亞硝酸或鐵氰化鉀氧化得到吡啶衍生物:
Hantzsch二氫吡啶合成法在有機合成中和藥物合成中有著廣泛的套用,尤其是合成心腦血管藥物(鈣拮抗劑,Calcium Antagonists)方面,出現了硝苯地平、尼莫地平、尼卡地平、非洛地平以及其它同類型化合物。
反應機理反應舉例
反應舉例
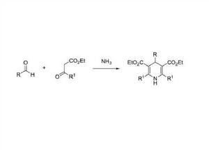
醛,β-酮酯和氨縮合得到1,4-二氫吡啶及吡啶衍生物的反應。Hantzsch1,4-二氫吡啶在有機催化反應中是非常常用的還原劑。得到二氫吡啶衍生物,再用氧化劑(亞硝酸或鐵氰化鉀)氧化得到吡啶衍生物。這是一個用於合成吡啶同系物很普遍的反應。
反應過程可能是一分子b-羰基酸酯和醛反應,另一分子b-羰基酸酯和氨反應生成b-氨基烯酸酯,所生成的這兩個化合物再發生Micheal加成反應,然後失水關環生成二氫吡啶衍生物,它很溶液脫氫而芳構化,例如用亞硝酸或鐵氰化鉀氧化得到吡啶衍生物:
Hantzsch二氫吡啶合成法在有機合成中和藥物合成中有著廣泛的套用,尤其是合成心腦血管藥物(鈣拮抗劑,Calcium Antagonists)方面,出現了硝苯地平、尼莫地平、尼卡地平、非洛地平以及其它同類型化合物。
反應機理
反應舉例