內容
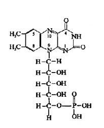
黃素單核苷酸 亦稱核黃素-5-磷酸。廣泛分布於生物界中。和 黃素腺嘌呤二核苷酸( FAD)一樣,對呼吸等生物氧化過程的電子傳遞起著重要的作用,即作為 黃素酶組的 輔酶,以與 酶蛋白(apo-enzyme)的結合狀態,參與電子從底物向電子接受體傳遞。它和核黃素完全顯有同樣的吸收光譜,在生物體內通過核黃素激酶的作用,而由核黃素和ATP合成。
可為磷酸酶水解,而形成核黃素和磷酸。
性質
C17H31N4O9P=456.35
[別名] 核黃素-5’-磷酸
Riboflavin-5’-phosphate; FMN
[性狀] 橙色吸潮粉末。通常每分子含2-3結晶水。溶於水、冰乙酸、吡啶、苯酚;不溶於丙酮、乙醚、三氯甲烷。溶液在pH6最為穩定。中性溶液100℃穩定,酸性溶液中磷酸酯鍵水解,鹼性溶液中核糖醇與環之間斷開。在所有pH下均見光分解。
E0’=-0.219V(pH7, 30℃)
[貯存] 低溫密閉避光保存。

