算法
FFT是一種DFT的高效算法,稱為快速傅立葉變換(fast Fourier transform),它根據離散傅氏變換的奇、偶、虛、實等特性,對離散傅立葉變換的算法進行改進獲得的。FFT算法可分為按時間抽取算法和按頻率抽取算法,先簡要介紹FFT的基本原理。從DFT運算開始,說明FFT的基本原理。
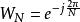
DFT的運算為:
fft[離散傅氏變換的快速算法]
fft[離散傅氏變換的快速算法]式中
fft[離散傅氏變換的快速算法]
fft[離散傅氏變換的快速算法]由這種方法計算DFT對於 的每個K值,需要進行4N次實數相乘和(4N-2)次相加,對於N個k值,共需4N*N次實數相乘和(4N-2)*N次實數相加。改進DFT算法,減小它的運算量,利用DFT中 的周期性和對稱性,使整個DFT的計算變成一系列疊代運算,可大幅度提高運算過程和運算量,這就是FFT的基本思想。
FFT算法圖(Butterfly算法)FFT對傅氏變換的理論並沒有新的發現,但是對於在計算機系統或者說數字系統中套用離散傅立葉變換,可以說是進了一大步。
設x(n)為N項的複數序列,由DFT變換,任一X(m)的計算都需要N次複數乘法和N-1次複數加法,而一次複數乘法等於四次實數乘法和兩次實數加法,一次複數加法等於兩次實數加法,即使把一次複數乘法和一次複數加法定義成一次“運算”(四次實數乘法和四次實數加法),那么求出N項複數序列的X(m),即N點DFT變換大約就需要N^2次運算。當N=1024點甚至更多的時候,需要N =1048576次運算,在FFT中,利用WN的周期性和對稱性,把一個N項序列(設N=2k,k為正整數),分為兩個N/2項的子序列,每個N/2點DFT變換需要(N/2) 次運算,再用N次運算把兩個N/2點的DFT變換組合成一個N點的DFT變換。這樣變換以後,總的運算次數就變成N+2*(N/2)^2=N+(N^2)/2。繼續上面的例子,N=1024時,總的運算次數就變成了525312次,節省了大約50%的運算量。而如果我們將這種“一分為二”的思想不斷進行下去,直到分成兩兩一組的DFT運算單元,那么N點的DFT變換就只需要N/2log2N次的運算,N在1024點時,運算量僅有5120次,是先前的直接算法的近1/200,點數越多,運算量的節約就越大,這就是FFT的優越性。
公式
fft[離散傅氏變換的快速算法]其中
fft[離散傅氏變換的快速算法]源碼含義
在C環境下的源碼
源碼(1):
註:親測,這個版本無法運行,作者刪改了重要內容 請參考源碼(2)
源碼(2)
ps:可以運行的
在C++環境下的源碼
在Matlab環境下的源碼
function X=myfft(x)
N=length(x);
if N==1
X=x;
return;
end
%myfft函式 用遞歸實現
t=log2(N);
t1=floor(t);
t2=ceil(t);
if t1~=t2; %若x的長度N不為2的整數次冪,則補0至最接近的2的整數次冪
x=[x zeros(1,2^t2-N)];
N=2^t2;
end
w0=exp(-1i*2*pi/N);
X=zeros(1,N);
n=1:N/2;
xo(n)=x(2*n-1);
xe(n)=x(2*n);
XO=myfft(xo); %遞歸調用
XE=myfft(xe);
for n=1:N/2
X(n)=XO(n)+XE(n)*(w0^(n-1));
X(n+N/2)=XO(n)-XE(n)*(w0^(n-1));
end
使用方法
一.調用方法
X=FFT(x);
X=FFT(x,N);
x=IFFT(X);
x=IFFT(X,N)
用MATLAB進行譜分析時注意:
(1)函式FFT返回值的數據結構具有對稱性。
例:
N=8;
n=0:N-1;
xn=[4 3 2 6 7 8 9 0];
Xk=fft(xn)
→
Xk =
39.0000 -10.7782 + 6.2929i 0 - 5.0000i 4.7782 - 7.7071i 5.0000 4.7782 + 7.7071i 0 + 5.0000i -10.7782 - 6.2929i
Xk與xn的維數相同,共有8個元素。Xk的第一個數對應於直流分量,即頻率值為0。
(2)做FFT分析時,幅值大小與FFT選擇的點數有關,但不影響分析結果。在IFFT時已經做了處理。要得到真實的振幅值的大小,只要將得到的變換後結果乘以2除以N即可。
二.FFT套用舉例
例1:x=0.5*sin(2*pi*15*t)+2*sin(2*pi*40*t)。採樣頻率fs=100Hz,分別繪製N=128、1024點幅頻圖。
clf;
fs=100;N=128; %採樣頻率和數據點數
n=0:N-1;t=n/fs; %時間序列
x=0.5*sin(2*pi*15*t)+2*sin(2*pi*40*t); %信號
y=fft(x,N); %對信號進行快速Fourier變換
mag=abs(y); %求得Fourier變換後的振幅
f=n*fs/N; %頻率序列
subplot(2,2,1),plot(f,mag); %繪出隨頻率變化的振幅
xlabel('頻率/Hz');
ylabel('振幅');title('N=128');grid on;
subplot(2,2,2),plot(f(1:N/2),mag(1:N/2)); %繪出Nyquist頻率之前隨頻率變化的振幅
xlabel('頻率/Hz');
ylabel('振幅');title('N=128');grid on;
%對信號採樣數據為1024點的處理
fs=100;N=1024;n=0:N-1;t=n/fs;
x=0.5*sin(2*pi*15*t)+2*sin(2*pi*40*t); %信號
y=fft(x,N); %對信號進行快速Fourier變換
mag=abs(y); %求取Fourier變換的振幅
f=n*fs/N;
subplot(2,2,3),plot(f,mag); %繪出隨頻率變化的振幅
xlabel('頻率/Hz');
ylabel('振幅');title('N=1024');grid on;
subplot(2,2,4)
plot(f(1:N/2),mag(1:N/2)); %繪出Nyquist頻率之前隨頻率變化的振幅
xlabel('頻率/Hz');
ylabel('振幅');title('N=1024');grid on;
運行結果:
fs=100Hz,Nyquist頻率為fs/2=50Hz。整個頻譜圖是以Nyquist頻率為對稱軸的。並且可以明顯識別出信號中含有兩種頻率成分:15Hz和40Hz。由此可以知道FFT變換數據的對稱性。因此用FFT對信號做譜分析,只需考察0~Nyquist頻率範圍內的幅頻特性。若沒有給出採樣頻率和採樣間隔,則分析通常對歸一化頻率0~1進行。另外,振幅的大小與所用採樣點數有關,採用128點和1024點的相同頻率的振幅是有不同的表現值,但在同一幅圖中,40Hz與15Hz振動幅值之比均為4:1,與真實振幅0.5:2是一致的。為了與真實振幅對應,需要將變換後結果乘以2除以N。
例2:x=0.5*sin(2*pi*15*t)+2*sin(2*pi*40*t),fs=100Hz,繪製:
(1)數據個數N=32,FFT所用的採樣點數NFFT=32;
(2)N=32,NFFT=128;
(3)N=136,NFFT=128;
(4)N=136,NFFT=512。
clf;fs=100; %採樣頻率
Ndata=32; %數據長度
N=32; %FFT的數據長度
n=0:Ndata-1;t=n/fs; %數據對應的時間序列
x=0.5*sin(2*pi*15*t)+2*sin(2*pi*40*t); %時間域信號
y=fft(x,N); %信號的Fourier變換
mag=abs(y); %求取振幅
f=(0:N-1)*fs/N; %真實頻率
subplot(2,2,1),plot(f(1:N/2),mag(1:N/2)*2/N); %繪出Nyquist頻率之前的振幅
xlabel('頻率/Hz');ylabel('振幅');
title('Ndata=32 Nfft=32');grid on;
Ndata=32; %數據個數
N=128; %FFT採用的數據長度
n=0:Ndata-1;t=n/fs; %時間序列
x=0.5*sin(2*pi*15*t)+2*sin(2*pi*40*t);
y=fft(x,N);
mag=abs(y);
f=(0:N-1)*fs/N; %真實頻率
subplot(2,2,2),plot(f(1:N/2),mag(1:N/2)*2/N); %繪出Nyquist頻率之前的振幅
xlabel('頻率/Hz');ylabel('振幅');
title('Ndata=32 Nfft=128');grid on;
Ndata=136; %數據個數
N=128; %FFT採用的數據個數
n=0:Ndata-1;t=n/fs; %時間序列
x=0.5*sin(2*pi*15*t)+2*sin(2*pi*40*t);
y=fft(x,N);
mag=abs(y);
f=(0:N-1)*fs/N; %真實頻率
subplot(2,2,3),plot(f(1:N/2),mag(1:N/2)*2/N); %繪出Nyquist頻率之前的振幅
xlabel('頻率/Hz');ylabel('振幅');
title('Ndata=136 Nfft=128');grid on;
Ndata=136; %數據個數
N=512; %FFT所用的數據個數
n=0:Ndata-1;t=n/fs; %時間序列
x=0.5*sin(2*pi*15*t)+2*sin(2*pi*40*t);
y=fft(x,N);
mag=abs(y);
f=(0:N-1)*fs/N; %真實頻率
subplot(2,2,4),plot(f(1:N/2),mag(1:N/2)*2/N); %繪出Nyquist頻率之前的振幅
xlabel('頻率/Hz');ylabel('振幅');
title('Ndata=136 Nfft=512');grid on;
結論:
(1)當數據個數和FFT採用的數據個數均為32時,頻率解析度較低,但沒有由於添零而導致的其他頻率成分。
(2)由於在時間域內信號加零,致使振幅譜中出現很多其他成分,這是加零造成的。其振幅由於加了多個零而明顯減小。
(3)FFT程式將數據截斷,這時解析度較高。
(4)也是在數據的末尾補零,但由於含有信號的數據個數足夠多,FFT振幅譜也基本不受影響。
對信號進行頻譜分析時,數據樣本應有足夠的長度,一般FFT程式中所用數據點數與原含有信號數據點數相同,這樣的頻譜圖具有較高的質量,可減小因補零或截斷而產生的影響。
例3:x=cos(2*pi*0.24*n)+cos(2*pi*0.26*n)
(1)數據點過少,幾乎無法看出有關信號頻譜的詳細信息;
(2)中間的圖是將x(n)補90個零,幅度頻譜的數據相當密,稱為高密度頻譜圖。但從圖中很難看出信號的頻譜成分。
(3)信號的有效數據很長,可以清楚地看出信號的頻率成分,一個是0.24Hz,一個是0.26Hz,稱為高解析度頻譜。
可見,採樣數據過少,運用FFT變換不能分辨出其中的頻率成分。添加零後可增加頻譜中的數據個數,譜的密度增高了,但仍不能分辨其中的頻率成分,即譜的解析度沒有提高。只有數據點數足夠多時才能分辨其中的頻率成分。
![fft[離散傅氏變換的快速算法] fft[離散傅氏變換的快速算法]](/img/c/c3a/nBnauM3X0cjN3YzM4YTOxMDN0UTMyITNykTO0EDMwAjMwUzL2kzL2EzLt92YucmbvRWdo5Cd0FmLzE2LvoDc0RHa.jpg)
