簡單介紹
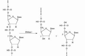
DNase I,即Deoxyribonuclease I,中文名稱為脫氧核糖核酸酶I,是一種可以消化單鏈或雙鏈DNA產生單脫氧核苷酸或單鏈或雙鏈的寡脫氧核苷酸的核酸內切酶。DNase I水解單鏈或雙鏈DNA後的產物,5'端為磷酸基團,3'端為羥基。
DNase I活性依賴於鈣離子,並能被鎂離子或二價錳離子激活。鎂離子存在條件下,DNase I可隨機剪下雙鏈DNA的任意位點;二價錳離子存在條件下,DNase I可在同一位點剪下DNA雙鏈,形成平末端,或1-2個核苷酸突出的粘末端。
一般性質
分子量:已知有約31,000道爾頓左右的4種分子量,但酶的性質不能區分。
最適pH:在pH7.0附近,在pH5~6區域穩定。
輔因子:Ca2+
活化劑:Mg2+
抑制劑:EDTA (可逆的)
穩定性:80℃、10分鐘熱處理後不可逆失活
活性定義
以小牛胸腺DNA為底物,在25℃、pH5.0的條件下,1分鐘內使反應液的260 nm吸光度增加0.001所需要的酶量定義為1個活性單位 (Kunitz Unit)。 用途:
轉錄反應後DNA模板的降解
除去RNA樣品中污染的基因組DNA
DNase I足跡分析法

