衡量指標
衡量搜尋引擎質量指標(DCG -- Discounted Cumulative Gain)
DCG的英文全稱是Discounted cumulative gain,它是一個衡量搜尋引擎算法的指標。
搜尋引擎一般採用PI(per item)的方式進行評測,簡單地說就是逐條對搜尋結果進行分等級的打分。假設我們現在在Google上搜尋一個詞,然後得到5個結果。我們對這些結果進行3個等級的區分:Good(好)、Fair(一般)、Bad(差),然後賦予他們分值分別為3、2、1,假定通過逐條打分後,得到這5個結果的分值分別為3、2 、1 、3、 2。
使用DCG這個統計方法有兩個前提:
1.在搜尋結果頁面,越相關的結果排在越前面越好
2.在PI標註時,等級高的結果比等級低的結果好,即Good要比Fair好、Fair要比Bad好。
DCG這個概念是從Cumulative Gain這個概念發展起來的
什麼叫Cumulative Gain (CG )
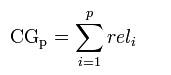
CG並不考慮在搜尋結果頁面中結果的位置信息,它是在這個搜尋結果list裡面所有的結果的等級對應的得分的總和。如一個搜尋結果list頁面有P個結果,CG被定義為:
DCG reli是第i位結果的得分。CG的統計並不能影響到搜尋結果的排序,CG得分高只能說明這個結果頁面總體的質量比較高並不能說明這個算法做的排序好或差。什麼是好的排序?也就是說要把Good的結果排到Fair結果上面、Fair結果排到Bad結果上面,如果有Bad的結果排在了Good上面,那當然排序就不好了。到底排序好不好,需要一個指標來衡量,DCG就是這樣的一個指標。
上面的例子CG=3+2+1+3+2=11,如果調換第二個結果和第三個結果的位置CG=3+1+2+3+2=11,並沒有改變總體的得分。
Discounted Cumulative Gain
在一個搜尋結果list裡面,比如有兩個結果的打分都是Good,但是有一個是排在第1位,還有一個是排在第40位,雖然這兩個結果一樣都是Good,但是排在第40位的那個結果因為被用戶看到的機率是比較小的,他對這整個搜尋結果頁面的貢獻值是相對排在第一位那個結果來得小的。
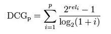
DCG的思想是等級比較高的結果卻排到了比較後面,那么在統計分數時,就應該對這個結果的得分有所打折。一個有p(P≥2)個結果的搜尋結果頁面的DCG定義為:
DCG 為什麼要用以2為底的對數函式?這個並沒有明確的科學依據,大概是根據大量的用戶點擊與其所點寶貝的位置信息,模擬出一條衰減的曲線。
那么上例中的數字如下:
DCG DCG=3+(1+1.26+1.5+0.86)=7.62
DCG的公式另外一種表達式是:
DCG 這個表達式在一些搜尋文檔中經常會被提到,他的作用和之前的那個公式一樣,但是這個公式只適合打分分兩檔的評測。
nDCG (normalize DCG )
因為不同搜尋模型給出的結果有多有少,所以DCG值就沒有辦法來做對比。
定義:
DCG IDCG(ideal DCG),就是理想的DCG。IDCG如何計算?首先要拿到搜尋的結果,人工對這些結果進行排序,排到最好的狀態後,算出這個排列下本query的DCG,就是IDCG。
因為nDCG是一個相對比值,那么不同的搜尋結果之間就可以通過比較nDCCG來決定哪個排序比較好。
例子中,理想的排序應該是3 、3 、2 、2 、1,那么IDCG=3+3+1.26+1+0.43=8.69
nDCG=DCG/IDCG=7.62/8.69=0.88,從nDCG這個值可以看出目前算法存在的最佳化空間。
耐用品
消費品分為兩類:一類是耐用消費品(DCG -- Durable Consumable Goods)如汽車、房子等;一類是快速消費品(FMCG -- Fast Moving Comsumer Goods)如餐飲、食品、化妝品等。
心電圖
(DCG -- Dynamic Electrocardiography)
動態心電圖於1949年由美國Holter首創,故又稱Holter心電圖。 國外80年代已在臨床廣泛套用,國內近幾年迅猛發展,其儀器由磁帶式記錄發展為固態式記錄、閃光卡記錄,由單導、雙導發展為12導聯全記錄。DCG可連續記錄24小時心電活動的全過程,包括休息、活動、進餐、工作、學習和睡眠等不同情況下的心電圖資料,能夠發現常規 ECG不易發現的心律失常和心肌缺血,是臨床分析病情.確立診斷.判斷療效重要的客觀依據。近半世紀以來,隨著動態監護領域的進一步拓展,如動態血壓、動態腦電、動態睡眠呼吸監測等技術在醫學臨床及科研中的廣泛套用,現今,Holter的全新詮釋應包括:動態心電/動態血壓/動態睡眠呼吸等多種參數。
達陣科技
(DCG -- Dialog Cooperative Group)
達陣信息科技是一家集管理諮詢、信息技術和外包服務於一體的高科技公司。DCG團隊是一支勤奮努力、穩健而創新的隊伍,公司是由諮詢行業資深人士、軟體開發資深人士、廣告行銷行業資深人士創建並經營管理的高科技企業,擁有紮實的專業知識和豐富的專業技能。DCG專注於自有智慧財產權的通用套用軟體、通用行業軟體的研發和實施諮詢服務,為客戶提供信息技術與整合行銷服務。DCG致力於提供一流的全方位的信息化管理與行銷服務解決方案,按照“整合服務”的發展策略,目前將業務主要集中在以下方面:
管理軟體服務:包括客戶關係管理、人力資源管理、供應鏈管理、知識管理、業務流程管理、協同商務、電子商務、項目管理等軟體的實施開發、集成開發和定製開發服務。
管理諮詢服務:包括客戶關係管理、人力資源管理、供應鏈管理、知識管理、業務流程管理等策略諮詢服務和管理套用系統相關的實施諮詢服務。
整合行銷服務:包括客戶關係行銷、搜尋引擎行銷、直復行銷、網路互動行銷和無線互動行銷服務。
知識引擎服務:包括元搜尋引擎、垂直搜尋引擎、知識搜尋引擎、知識研究平台、知識交易平台等。
行業套用方案包括醫藥醫療、教育培訓、房地產、汽車、金融、零售、製造、物流、IT等行業提供行業性的套用協作方案。
DCG在充分發掘自身現有的技術優勢基礎上,把握國際信息技術發展趨勢,將不斷增強核心競爭力,全力為客戶提供至臻滿意的服務。
夢想杯
DCG :天下通夢想杯(Dream Cup Game 簡稱DCG),創立於2011年8月,由知名電競解說海濤發起,廣州市新寬聯集團主辦,天下通冠名贊助,賽事包括線上職業隊伍對抗賽、線下網咖隊伍聯賽。旨在推動電子競技發展正規化,將致力於發掘培養草根明星選手,為選手提供更多的鍛鍊及全方位服務,並打造全球最具影響力的電子競技比賽,為觀眾提供更好的賽事觀看及互動體驗,探索更具觀賞性的比賽模式,其口號為“為夢想而戰”(Fight For Your Dream)。

