概述
像其他的LC振盪器一樣,Colpitts電路由一個增益器件(如雙極結型電晶體、場效應管、運算放大器或真空管)的輸出連在它的輸入上,反饋迴路包含一個LC並聯電路(調諧電路)作為一個帶通濾波器固定振盪頻率。Colpitts振盪器可以看成是Hartley振盪器的對偶,在哈特萊振盪器中反饋信號來自用兩個線圈串聯(或是一個抽頭線圈)組成的“感性”分壓器。圖1顯示了共基極Colpitts電路。L 和串聯組合的 C1 與 C2 構成的並聯諧振電路決定了振盪器的頻率。在 C2 兩端的電壓作為反饋施加到電晶體的基極-發射極結,用以產生振盪。圖2顯示了共集極版本。這裡 C1 兩端的電壓提供反饋。振盪頻率約為LC電路(即兩個電容器與電感的串聯組合)的諧振頻率,
Colpitts振盪器 由於結電容和電晶體的阻性負載,振盪的實際頻率會略微降低。
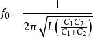
與任何振盪器一樣,為了穩定工作,有源元件的放大率應略大於電容分壓器的衰減。因此,使用可變電感可變頻率振盪器調諧時,相對於調整兩個電容的其中一個來說,可使Colpitts振盪器達到最佳性能。若需採用可變電容器調諧,應該將第三個電容與電感並接(或者像在克拉普振盪器中那樣串聯)。
實例
圖3顯示了標有器件參數的一個工作示例。除了雙極性電晶體,還可以使用能夠在所需的頻率產生場效應管或真空管等有源器件。
基地的電容為可能會產生不需要的頻率的寄生電感提供一條交流通路接地。基極偏置電阻的選擇並不簡單。到達臨界偏置電流時周期性振盪開始,並會隨著偏置電流變化到一個更高的值,會觀測到混沌振盪 。
Colpitts振盪器圖冊 理論
分析振盪器的其中一種方法是在忽略回授影響的情形下計算其中一個輸入端對應的輸入阻抗,若算出的輸入阻抗是負值則有可能出現振盪。以下利用這種方法決定振盪條件與振盪頻率。
右邊是一個理想模型。此模型是使用前一節中提到的共集極放大器。一開始把寄生電容或其他非線性元件的影響忽略,等到分析結束後再把這些項代回以進行更確確的計算。雖然看起來忽略了不少東西,但計算出的解與實驗結果相比之後,仍然是可接受的。
忽略電感,所以輸入阻抗可以寫成:
Colpitts振盪器
Colpitts振盪器
Colpitts振盪器
Colpitts振盪器 而 為輸入電壓, 為輸入電流,電壓 的值是根據下式:
Colpitts振盪器
Colpitts振盪器
Colpitts振盪器
Colpitts振盪器
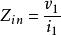
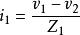
Colpitts振盪器 的值為 的阻抗。流入 的電流值為 ,這個值是另外兩個電流值的和:
Colpitts振盪器
Colpitts振盪器
Colpitts振盪器 電流值 為BJT輸出的電流。 的值可以用下式計算:
Colpitts振盪器
Colpitts振盪器
Colpitts振盪器 是BJT的跨導(transconductance)。另外一個電流值 的表示式為:
Colpitts振盪器
Colpitts振盪器
Colpitts振盪器
Colpitts振盪器 式子中的 為 的阻抗。解出 的表示式,代回可得:
Colpitts振盪器
Colpitts振盪器 輸入阻抗看起來像是兩個電容的阻抗與一個奇妙的項串連。因 與兩個電容的阻抗積成正比:
Colpitts振盪器
Colpitts振盪器
Colpitts振盪器
Colpitts振盪器
Colpitts振盪器
Colpitts振盪器
Colpitts振盪器
Colpitts振盪器
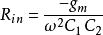
Colpitts振盪器 若 與 為同號複數, 便會是負阻抗(negative resistance)。若 與 以 和 代入 :
Colpitts振盪器 若電感連線輸入,當負阻抗的絕對值比電感的阻抗大的時候,此電路會開始振盪。振盪頻率可見上一節的表示式。
以之前的振盪器為例,射極電流大約是1毫安培。跨導約40毫西門子(Simens),代入上面的表示式,輸入阻抗約為:
Colpitts振盪器 式中負阻抗的絕對值已足以超過電路中的任何電阻。在驗算時會發現:振盪在更大的跨導與更小的電容之下更容易發生。共基極振盪器的更複雜的分析表明,一個低頻放大器電壓增益至少為四才能實現振盪。低頻增益為:
Colpitts振盪器 若把這兩個電容換成電感,並忽略電感間磁偶合的影響,則電路就變成了Hartley振盪器。如此一來,輸入阻抗為兩個電感值的和,而負阻抗可以寫成:
Colpitts振盪器 在Hartley振盪器的電路中,振盪在更大的跨導及更大的電感值之下更容易發生。
有趣的是,在上述分析還可以描述皮爾斯震盪器的行為。皮爾斯振盪器,有兩個電容和一個電感,與Colpitts振盪器等效 。可以通過將兩個電容器之間設為接地點來證明。使用兩個電感和一個電容的標準皮爾斯振盪器的電學對偶與哈特萊振盪器等價。
振盪幅度
振盪的振幅一般很難預測,但往往可以用描述函式方法準確地估計使的。
對於圖1中常見的基準振盪器,該方法施加在一個簡化模型中可以預測輸出(集電極)的電壓幅值:
Colpitts振盪器
Colpitts振盪器
Colpitts振盪器 其中 是偏置電流,而 是集電極的負載電阻。
這裡假設該電晶體不飽和,集電極電流以窄脈衝流過,輸出電壓為正弦(低失真)。
這種近似的結果也適用於採用不同有源器件的振盪器,如MOSFET和真空管。

