簡介
Chirp-Z轉換(Chirp-Z transform)是一種適合於計算當 取樣頻率間隔( sampling frequency interval)與 取樣時間間隔( sampling time interval)乘積的倒數 不等於信號的時頻分布面積時的 算法,其為利用卷積來實現任意大小的離散傅立葉變換(DFT)的快速傅立葉變換算法。
算法
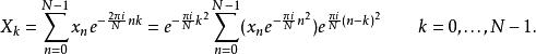
Chirp-Z轉換離散信號的離散傅立葉變換可以寫成下列的形式
Chirp-Z轉換
Chirp-Z轉換
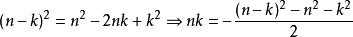
Chirp-Z轉換其中這項的可以利用平方式展開得到,如下式所示
Chirp-Z轉換所以
Chirp-Z轉換而將此平方展開式帶回原式我們可以得到
Chirp-Z轉換
Chirp-Z轉換因此離散信號 的離散傅立葉變換現在可以分成三個步驟來實現:
Chirp-Z轉換
Chirp-Z轉換STEP 1:對於信號的每一個取樣點都乘上
Chirp-Z轉換STEP 2:接著再與做線性卷積
Chirp-Z轉換STEP 3:最後乘上
Chirp-Z轉換如此即可得到不同頻率成分的。
相關條目
•卷積
•離散傅立葉變換
•快速傅立葉變換
•啁啾(Chirp)
