簡介
C頻段是指頻率在4-8GHz的無線電波頻段。通常,上行頻率範圍為5.925-6.425GHz之間,下行頻率則為3.7-4.2GHz,即上下行頻寬各為500MHz,通常稱為4GHz衛星廣播。C頻段需要使用一個較大的正饋天線,通常是由6瓣組成的分體鍋,也可採用一體式的整體鍋。早期,衛星通信使用的是C頻段,後來因為C頻段變得擁擠,於是,相繼出現了Ku頻段、Ka頻段等。一般來說,微波遙感衛星使用的頻段越低,穿透性越強;頻段越高,穿透性越弱,但低頻段不容易實現高解析度。科學家研究發現,C頻段在衛星的套用中分辨目標更有優勢 。
PSWF 原理與調製方法
SELPIAN D 提出的橢圓球面波PSWF 函式是一種具有信號能量高度聚集的波形調製方式[ 5]。PSWF 函式的積分形式可表示為:
(1)(1)
其中,ψ(τ)即為橢圓球面波PSWF 函式。
由於該方程的閉式解難以直接求取, 可採用數值解法得到其近似解。在PSWF 脈衝的持續時間Ts內進行N 點採樣, 可將式(1)離散化並展開得到的矩陣關係式可表示為:式中,λ 表示矩陣H 的特徵值;ψ 表示λ 對應的特徵向量。將通過特徵值分解求取的特徵值λ 按照單調遞減關係排列,則所對應的特徵向量可表示為:
(2)(2)
ψ=[ψ0,ψ1,…,ψm] (3)
式中,ψ0,ψ1,…,ψm即為不同階的橢圓球面波PSWF 函式,
其時間頻寬積可表示為:
C=πTsB (4)
其中,B 為信號頻寬。根據不同的信號頻寬和碼片周期,PSWF 函式的階數選取原則可表示為:
(5)(5)
其中,m 表示PSWF 的階數。各階PSWF 函式波形在頻寬範圍內的能量聚集度可表示為:
(6)(6)
則信號的碼片波形可表示為各階橢圓球面波PSWF 函式的線性組合, 如下式所示:
(7)(7)
其中,αm為各階橢圓球面波函式線性組合的權值 。
C波形設計方案
針對北斗系統在C 頻段的信號波形設計, 從信號的兼容性約束、導航性能以及接收機實現複雜度三個方面提出C 頻段信號的波形設計標準。
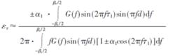
(1) 為滿足RA 服務的兼容性約束要求, 需計算每一顆衛星的C 頻段下行信號在RA 服務頻寬內的功率通量密度PFD, 如下式所示:
(1)(1)
為C 頻段下行信號的等效全向輻射功率;Latm為大氣損耗, 假設為0.5 dB;d 是衛星到地球表面的距離, 假設為23 000 km;GC – band Down - link是C 波段下行導航信號的歸一化功率譜密度。
(2)為了提高信號的導航性能,提出在滿足兼容性約束要求的基礎上,通過合理的信號波形設計增加導航信號的均方根頻寬, 減小時延估計誤差, 提高導航信號的定位精度。導航信號時延估計誤差的方差下界可表示為:
(2)(2)
其中,BL是接收機等效噪聲頻寬;P (f) 是信號時域波形的傅立葉變換;C/N0是信號接收載噪比。同時, 通過增加信號頻譜的高頻分量改善抗多徑性能。單眼射路徑的多徑誤差
公式可表示為:
(3)(3)
其中,βr為接收機頻寬;α1是多徑與直達信號幅度比;d是相關器間隔;τ1是多徑反射的額外延遲。
(3) 由於信號自相關函式的邊峰數量和幅度是影響接收機捕獲和跟蹤穩健性以及接收機實現複雜度的主要因素, 所以在信號波形設計過程中, 可通過設定波形參數來限制邊峰的歸一化幅度, 如下式所示:
(4)(4)
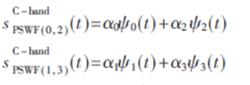
其中,νi表示信號自相關函式第i 個邊峰的歸一化幅度;κ 為限制邊峰幅度的波形調製參數。因此, 根據C 頻段信號設計的兼容性約束要求, 提出北斗全球信號體制在C 頻段上採用基於橢圓球面波PSWF 函式的波形調製方式, 並通過對PSWF 波形的時域、頻域特性分析, 以及C 頻段信號設計的頻寬限制,提出選擇0 階、2 階PSWF 函式, 以及1 階、3 階PSWF函式分別進行線性組合構造C 頻段導航信號的時域表達式:
(5)(6)(5) (6)
進一步, 為了確保接收機捕獲和跟蹤的穩健性, 根據提出的信號波形設計標準, 對信號自相關函式的邊峰幅度進行設定( 這裡初步提出兩種方案, 包括波形調製參數κ=0.1 和κ=0.6 兩種情況) , 並在C 頻段信號的兼容性約束條件以及信號的導航性能約束條件下最佳化式(5) 和式(6) 中線性組合的權值, 實現在信號的兼容性、導航性能以及接收機實現複雜度的多約束條件下的權衡和折中 。
C頻道保衛戰
過去,衛星運營商經歷過頻譜之戰。但為了下一代無線業務而爭取更多的C頻段接入,電信公司開展了規模宏大和心情急切的四處遊說活動,衛星運營商可能不得不面對他們最艱巨的頻譜之戰。今年下半年,隨著至關重要的國際電信聯盟(ITU)會議的舉辦,衛星運營商和他們的客戶不得不與時間競賽,共同推出引人注目的協定,從而保證C頻段繼續服務於衛星,而不是拱手讓給力量強大而且財力豐厚的競爭對手 。

