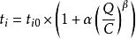
在交通規劃四階段的交通分配階段,要對交通流量進行分配,就要考慮到某一路段的時間阻抗。對於路段行駛時間的修正,可以根據行駛時間和路段交通量之間的關係,即路阻函式確定。最為常見的路阻函式是美國聯邦公路局函式(BPR函式),其具體公式為:
BPR函式其中,ti為實際通過該路段所需要的時間,ti0為路段自由行駛時間,Q為當時通過該路段的交通量,單位pcu/h,C為路段的實際通行能力,單位pcu/h,α/β為模型待定參數,建議取值分別為0.15,4。但是考慮到我國道路交通情況與美國的不同,所以該值應按實際情況予以確定。
