工作原理
一. 測量原理
壓頭(英文名稱:pressure head, load cell)是一個焊接鋼裝置,一般有兩種類型的壓頭:水平類型和垂直類型。當帶鋼以一定包角通過測張輥時,帶鋼的張力T將產生兩個分量,一個是垂直方向的分量FV,另一個是水平方向的分量FH。如果我們選用水平類型的壓頭,則可以測出FH;如果我們選用垂直類型的壓頭,則我們可以測出FV。另外,測量輥和帶鋼的包角可以獲得,從而我們可以計算出帶鋼的張力。下面分別給出水平類型和垂直類型壓頭的測量原理:
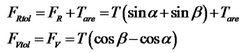
ABB壓頭如上圖所示:壓頭測量力的大小,一部分取決於帶鋼的張力T,另一部分取決於帶鋼的包角,由下列方程式決定:
ABB壓頭1. 垂直類型壓頭測量原理
ABB壓頭
ABB壓頭如上圖所示:和水平類型的壓頭類似,測量力取決於帶鋼張力T和包角。另外,它和水平類型壓頭所不同的是測量力還有一部分來自導向輥及軸承的重量,通過內部的電子補償我們可以得到一個與帶鋼張力成正比的測量信號。測量力由下列方程計算:
一般,ABB壓頭和其它ABB系列產品(ABB控制單元、隔離放大器,匹配單元和接線端子箱)配套組成張力計,用來測量帶鋼張力,構成帶鋼張力的閉環控制,從而使生產線上帶鋼張力嚴格地滿足工藝要求。主要套用於冶金,鋼廠,造紙行業非常廣泛。
維護
壓頭需從以下三個方面檢查:
壓頭的磨光面和未上漆的表面是否被腐蝕。必要時要做防腐蝕保護。
壓頭安裝位置是否被污垢覆蓋,這些污垢可能會導致壓頭局部超載和不良負載分配。
壓頭電纜是否損壞。
產品種類
ABB壓頭,ABB張力感測器,ABB張力計,ABB測壓元件,ABB力度測量,ABB張力測量系統,ABB張力測量儀,ABB LOAD CELL,性能穩定,質量可靠,廣泛套用於造紙,冶金等需要高精度張力控制的場合,根據測量範圍、安裝形式、套用場合的不同,愛澤工業可精確選型。
具體型號
1、型號:PFEA111
描述:常規控制單元,能接2個壓頭,根據套用環境的不同,有IP20和IP65的防護等級,PLC接口信號為0--10V DC , 各種校準和量程參數可以現場設定。
2、型號:PFCL201C
描述:枕塊式張力計垂直測壓元件,採用圓柱形插頭連線;測力範圍:5~50KN;
3、型號:PFCL201CD/CE
描述:枕塊式張力計垂直測壓元件,採用電纜密封接頭/帶保護軟管的固定電纜連線,測力範圍:5~50KN;
4、型號:PFTL101A
描述:枕塊式張力計水平測壓元件,圓柱插頭連線,測力範圍:0.2~2KN.
5、型號:PFTL101AE
描述:枕塊式張力計水平測壓元件,固定電纜連線,測力範圍:0.2~2KN.
6、型號:PFTL101AER
描述:耐酸型枕塊式張力計水平測壓元件,固定電纜連線,測力範圍:0.2~2KN. 用於造紙濕端張力測量,防護等級可達IP66/67
7、型號:PFTL101B
描述:枕塊式張力計水平測壓元件,圓柱插頭連線,測力範圍:2~20KN.
8、型號:PFTL101BE
描述:枕塊式張力計水平測壓元件,固定電纜連線,測力範圍:2~20KN.
9、型號:PFTL101BER
描述:耐酸型枕塊式張力計水平測壓元件,固定電纜連線,測力範圍:2~20KN. 用於造紙濕端張力測量,防護等級可達IP66/67
10、型號:PFTL201C
描述:枕塊式張力計水平測壓元件,圓柱插頭連線,測力範圍:10~50KN.
11、型號:PFCL301E
描述:迷你型紙幅張力垂直測壓元件,測壓範圍:0.2~1KN
12、型號:PFTL301E
描述:迷你型紙幅張力水平測壓元件,測壓範圍:0.1~1KN
13、型號:PFRL101D
描述:徑向測壓元件,額定負載5.0KN.
14、型號:PFRL101C
描述:徑向測壓元件,額定負載0.5~2.0KN.
15、型號:PFRL101B
描述:徑向測壓元件,額定負載1.0KN.
16、型號:PFRL101A
描述:徑向測壓元件,額定負載0.5KN.
17、型號:PFEA113
描述:張力控制器,可帶四個測壓元件,Profibus-DP 現場匯流排通訊功能,六個可配置的模擬量輸出連線埠。
18、型號:PFEA112
描述:在PFEA 111的基礎上增加了Profibus-DP 現場匯流排通訊功能。
19、型號:PFEA111
描述:張力控制器,可帶兩個測壓元件,結構緊湊,導軌安裝。
20、型號:PFTL201CE
描述:枕塊式張力計水平測壓元件,固定電纜連線,測力範圍:10~50KN.
21、型號:PFTL201D
描述:枕塊式張力計水平測壓元件,圓柱插頭連線,測力範圍:50~100KN.
22、型號:PFTL201DE
描述:枕塊式張力計水平測壓元件,固定電纜連線,測力範圍:50~100KN.
23、型號:PFVL141V
描述:矩形測壓元件,測力範圍:0.63~56MN;寬度範圍:70~610mm;長度範圍:120~1320mm高度:74mm。
24、型號:PFVL141C
描述:圓形測壓元件PFVL 141C,測力範圍:1.6~60MN;直徑範圍:210~890mm;高度:74mm。
25、型號:PFVL141R
描述:環形測壓元件PFVL 141R,測力範圍:2~28MN;外徑範圍:240~895mm;內徑範圍:100~595mm高度:74mm
26、型號:PXAH401
描述:Millmate OperatUnit 400,面板安裝,可以與控制單元網路通訊。尺寸:160×235 ×?60 mm, 前面防護等級IP65,其他方向IP20,重量: 1.3 kg.
27、型號:PFVA401
描述:軋制力控制器,可向測壓元件提供激勵,帶模擬輸入/輸出,數字輸入/輸出,乙太網接口,RS232/485接口,可選配高速現場匯流排通訊接口。
28、型號:PFBL141B/C
描述:垂直力測試單元,分為單輥/雙輥、固定/旋轉軸端不同型式,測量範圍4 - 400 kN。其中,PFBL 141C的外形尺寸可按照用戶要求定製。
29、型號:PFEA101
描述:在開卷和卷取過程中進行恆張力閉環控制, 可連線測壓元件以及制動器,離合器,馬達等轉矩輸出裝置。
