介紹
比如說我們先取5,首先我們得到3*5+1=16,然後是16/2=8,接下去是4,2和1,由1我們又得到4,於是我們就陷在4→2→1這個循環中了。
再舉個例子,最開始的數取7,我們得到下面的序列:
7→22→11→34→17→52→26→13→40→20→10→5→16→8→4→2→1
這次複雜了一點,但是最終還是陷在4→2→1這個循環中。
隨便取一個其他的自然數,對它進行這一系列的變換,或遲或早,你總會掉到4→2→1這個循環中,或者說,你總會得到1。已經有人對所有小於100*2^50=112589990684262400的自然數進行驗算,無一例外。
數學裡還有嚇人的"小題"。這樣的"小題"理解起來非常容易,卻讓無數數學家大跌眼鏡,怎么冥思苦想也不得其解。3x+1問題大概就是其中最著名而又最簡單的一個。它簡單到大概任何一個會除2和會乘3的人(比如說,沒文化但是經常買菜的老奶奶)都能理解它的意思,但是困難得讓數學家至今也沒有找到好好對付它的方法。
問題由來
這個問題大約是在二十世紀五十年代被提出來的。在西方它常被稱為西拉古斯(Syracuse)猜想,因為據說這個問題首先是在美國的西拉古斯大學被研究的;而在東方,這個問題由將它帶到日本的日本數學家角谷靜夫的名字命名,被稱作角谷猜想。除此之外它還有著一大堆其他各種各樣的名字,大概都和研究和傳播它的數學家或者地點有關的:克拉茲(Collatz)問題,哈斯(Hasse)算法問題,烏拉姆(Ulam)問題等等。今天在數學文獻里,大家就簡單地把它稱作"3x+1問題"。
角谷靜夫在談到這個猜想的歷史時講:"一個月里,耶魯大學的所有人都著力於解決這個問題,毫無結果。同樣的事情好象也在芝加哥大學發生了。有人猜想,這個問題是蘇聯克格勃的陰謀,目的是要阻礙美國數學的發展。"不過我對克格勃有如此遠大的數學眼光表示懷疑。這種形式如此簡單,解決起來卻又如此困難的問題,實在是可遇而不可求。
數學家們已經發表了不少篇嚴肅的關於3x+1問題的數論論文,對這個問題進行了各方面的探討,在後面我會對這些進展作一些介紹。可是這個問題的本身始終沒有被解決,我們還是不知道,"到底是不是總會得到1?"
在1996年B. Thwaites懸賞1100英鎊來解決這個問題。我寫一下這個懸賞的文獻:Thwaites, B. "Two Conjectures, or How to win £1100."Math.Gaz. 80, 35-36, 1996,好在大家萬一證出來時知道跑哪裡去領獎。看在錢大爺的份上,3x+1問題於是又多了個名字,叫Thwaites猜想。
公式
一,這是一個依照規則的疊代公式
3x+1猜想:...........(1)
3x+1猜想X是奇數,m是使得3X+1中的偶數析出並且抵消讓整個分數成為奇數。這是一個疊代公式,如果,就結束,如果是奇數,就代入公式繼續進行,直到等於1為止。
證明這個猜想需要證明兩點:
3x+1猜想1,公式中X不會循環,就是,s>1。
2,公式中的數值不會發散。
第1點容易證明,只要把公式(1)展開即可得到。
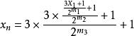
3x+1猜想二,,在(2)式一步到位的有
3x+1猜想形的數:
5, 21, 85, 341,1365, 5461, 21845, .....。
例如:
3x+1猜想
3x+1猜想..............。
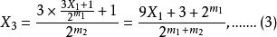
三,在(3)式二步到1的有
3x+1猜想(3)式反推二步到位的
3x+1猜想.......(4)
形的數:3,13,53, 113, 227, 909,....。
例如:
3x+1猜想
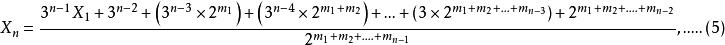
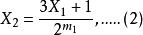
3x+1猜想四,在(5)式三步到1的有
3x+1猜想
3x+1猜想在(5)式反推三步到位的.......(6)
(6)式簡化:
3x+1猜想.....(6-1)
形的數:11,17, 75,301,1205,...。
例如:
3x+1猜想
3x+1猜想,
3x+1猜想.
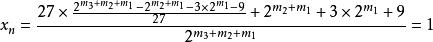
六,3x+1猜想成立是因為公式化以後
分子分母抵消
對於任意n:
3x+1猜想
3x+1猜想.........(7)
簡化以後:
3x+1猜想(8)
對於任意n,
3x+1猜想.......(9).
(9)式代入(10)式,剛好分子與分母抵消。
例如,(6-1)式代入(5)式:
3x+1猜想分子與分母剛剛抵消。
有了公式,這個猜想進入理論化。
------------------------
要是真的有這么一個自然數,對它反覆作上面所說的變換,而我們永遠也得不到1,那只可能有兩種情況。
1)它掉到另一個有別於4→2→1的循環中去了。我們在後面可以看到,要是真存在這種情況,這樣一個循環中的數字,和這個循環的長度,都會是非常巨大的;
2)不存在循環。也就是說,每次變換的結果都和以前所得到的所有結果不同。這樣我們得到的結果就會越來越大(當然其中也有可能有暫時減小的現象,但是總趨勢是所得的結果趨向無窮大)。
3x+1問題算法的c語言編程,其實很簡單,初學c語言的學生也能明白:
#include<stdio.h>
long main()
{
long x,i,t;
printf("enter x:");
scanf("%d",&x);
do
{
if(x%2==0)
i=x/2;
else
i=3*x+1;
printf("%d ",i);
x=i;
}
while(x!=1);
return 0;
}
3x+1猜想如圖所示為1百萬的執行結果:

