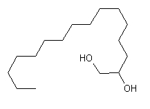
結構圖英文名:1,2-Dihydroxyhexadecane
分子式:C16H34O2;CH3(CH2)13CHOHCH2OH
分子量:258.44
熔點:68-72℃
外觀:白色至類白色粉末或結晶
用途:油相還原劑

分子量:258.44 熔點:68-72℃ 用途:油相還原劑
結構圖雌酮雌甾二醇17β-雌甾烷二醇雌甾烷三醇刺苞菊胺內酯刺苞菊內酯刺苞菊醛刺苞...厚殼烯酮內酯天然活性成份安紐洛靈安息香脂素桉醇厚朴酚桉二醛A桉醛...1,2-苯並吡喃酮1,4-苯二酚苯酚β-苯基-L-丙氨酸2-苯基苯...
厚殼烯酮內酯 相關知識 參考資料琥珀醯胺二鈉1372?020131磺基琥珀酸脂肪醇聚氧乙烯(10)醚單醯胺二鈉鹽1382?020132十六醇琥珀酸單酯磺酸鈉1392?020133...1402?020135乙氧基化烷醇醯胺磺化琥珀酸鈉1412...
簡介 書籍目錄八溴二苯醚 巴比妥 巴比妥酸 巴豆醛 巴西棕櫚蠟 白蛋白 白樺脂醇...菌靈 苯醌,對苯醌 苯偶醯,聯苯醯,1,2-二苯基乙二酮 苯乙胺 苯乙炔...,鉻變酸 冰片,龍腦,莰醇 丙氨酸 丙環唑,敵力脫 丙基烯丙基二硫醚,烯...
琥珀酸二鈉鹽 (15)脂肪醇聚氧乙烯醚磷酸三乙醇胺鹽 (16)脂肪醇(烷基...)甘油聚氧丙烯聚氧乙烯嵌段共聚物 (14)甘油聚氧丙烯醚 (15)仲烷醇... (26)脂肪酸單乙醇醯胺聚乙二醇醚 (27)脂肪酸烷醇醯胺(28)脂肪酸聚氧...
內容介紹 作品目錄十六、1,1?二氯乙烯 十七、1,2?二氯乙烯 十八、三氯乙烯...丙二醇 七、1,2?丁二醇 八、1,3?丁二醇 九、2,3?丁二醇 十、1,4?丁二醇 十一、二烷 十二、三乙二醇乙醚...
基本信息 內容簡介 目錄酸、十二烷酸、3 -羥基十二烯酸、十三-二烯酸、十四烷酸、十五烷酸、十六...、十二烯醇、十二烷醇、-香樹脂醇、辛酸乙酯, 十六烷酸甲酯、十六酸乙酯...、正二十六烷酸、B-谷甾醇、豆甾醇、齊墩果酸、B-胡蘿蔔苷、5 -羥甲基...
形態特徵 生長分布 化學成分 藥用價值 美化價值(1項),總計169項;2017年01月12日,ECHA發布第十六批...
基本含義 具體內容 關注物質020107 氯代十四烷 020108 氯代十六烷 020109 溴代十六烷 020110 碘代十六烷 020111 1-氯十八烷... 060208 十三醇 060209 十四醇 060210 十六醇...
圖書相信 內容簡介 目錄