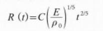
1941年英國力學家G.I.泰勒在得知可能發明一種由原子核裂變放出巨大能量的炸彈的訊息後,巧妙地運用量綱分析的方法,認為在空中爆炸波的強度足夠高的範圍內,可忽略彈體的尺寸和大氣環境壓力的影響,把問題理想化為能量在一個點上的突然爆發。他在一篇研究報告中提出了點源強爆炸波理論,給出了空中爆炸波的傳播規律及其引起的運動場的自相似解,其中衝擊波的傳播距離R與時間t具有非常簡單的關係,即
點爆炸理論式中C是無量綱常數,E是彈體的爆炸能量,ρ0是環境大氣的密度,這一變化關係為1945年在美國新墨西哥州爆炸的第一顆核子彈爆炸時拍攝到的電影資料所證實,並由此推算出該彈的爆炸當量為1.7萬噸TNT。
泰勒當年寫完報告後即送給馮·諾依曼看。三天后諾伊曼便作了改進,得到了封閉形式的解析解。到了1946年,蘇聯力學家L.I.謝多夫也獨立地得到了點爆炸的自相似解。
