敘述
黑林格-特普利茨定理
黑林格-特普利茨定理
黑林格-特普利茨定理設 為希爾伯特空間, 是處處定義的對稱線性運算元,即對任意 都有等式
黑林格-特普利茨定理。
黑林格-特普利茨定理那么, 有界(因此也是連續)。
證明
黑林格-特普利茨定理
黑林格-特普利茨定理
黑林格-特普利茨定理
黑林格-特普利茨定理從閉圖像定理可知,只需證明:如果序列 趨於0, ,那么 。因為內積在 上連續,故得
黑林格-特普利茨定理
黑林格-特普利茨定理
黑林格-特普利茨定理
黑林格-特普利茨定理
黑林格-特普利茨定理=0
所以y=0.
推論
黑林格-特普利茨定理1、任何對稱且在 上處處定義的運算元是自伴運算元。
2、無界自伴運算元最多只能定義在希爾伯特空間的一個稠密子集上。
物理結果
這定理帶出了量子力學的數學基礎的一些技術難題。量子力學中的可觀察量對應到某個希爾伯特空間上的自伴算符,但一些可觀察量(如能量)的算符是無界的。這定理說這些算符不能處處定義,只能定義在稠密子集上。
黑林格-特普利茨定理
黑林格-特普利茨定理
黑林格-特普利茨定理
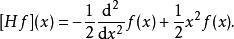
黑林格-特普利茨定理以量子諧振子為例。這時希爾伯特空間是 ,即 上平方可積函式空間,能量算符 定義為(設其單位選取使得 )
黑林格-特普利茨定理
黑林格-特普利茨定理這算符是自伴無界的(其特徵值為1/2, 3/2, 5/2, ...),所以不能在整個 上定義。
