基本內容
黃柏酮英文名稱 :Obacunone
英文別名:AI3-37934; CCRIS 8657; Obacunoic acid
CAS NO. 751-03-1
EINECS:-
分子式 :C26H30O7
分子量 :454.51
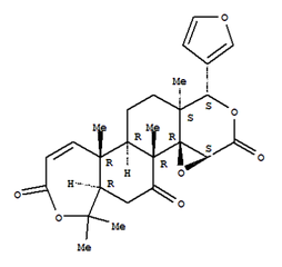
黃柏酮分子結構式:
相對密度:1.38g/cm3
植物來源:黃柏
純度:98%以上,檢測方法HPLC。

黃柏酮,是一種化學藥品,分子式為C26H30O7,來源於黃柏。
黃柏酮英文名稱 :Obacunone
英文別名:AI3-37934; CCRIS 8657; Obacunoic acid
CAS NO. 751-03-1
EINECS:-
分子式 :C26H30O7
分子量 :454.51
黃柏酮分子結構式:
相對密度:1.38g/cm3
植物來源:黃柏
純度:98%以上,檢測方法HPLC。
都江堰黃柏,是四川都江堰藥材產品之一,這裡是黃柏、杜仲、厚撲的主產區,有“三木藥材之鄉”的稱號。柏生於深山、河邊、溪旁及樹林中。
簡介 種類 性狀 藥理作用吉林關黃柏,樹高10-20米,大樹高達30米,胸徑1米。枝擴展,成年樹的樹皮有厚木栓層,淺灰或灰褐色,深溝狀或不規則網狀開裂,內皮薄,鮮黃色,味苦,粘質...
簡介 植物形態 主要成分 藥理作用 性味歸經"赤桐定匙羹藤酸I齒阿米醇齒阿米定齒阿米素L-赤-二氨鵝膏蕈氨酸赤霉酸赤石脂赤松素赤松素甲醚赤蘚醇蟲草素臭椿苦酮臭椿酮臭椿酯酮臭豆鹼(+)-臭蟲蟻二醛臭...
厚殼烯酮內酯 相關知識 參考資料1、抗菌作用。 2、降壓作用。 3、利尿、健胃作用。
百科名片黃柏,為芸香科植物黃皮樹或黃檗的乾燥樹皮。前者習稱“川黃柏”,後者習稱“關黃柏”。可入藥,性味苦寒,主治熱痢,泄瀉,消渴,黃疸,痿躄,夢遺,淋濁,痔瘡,...
【組成】 【主治】 【方解】
皮(栓皮),曬乾,切絲。中藥生用或鹽炙用(黃柏100公斤,鹽2.5公斤...熱,失血遺精陰痿。抑考黃連入心,梔、芩入肺,黃柏入腎,腎苦燥停濕,柏味微...之;相火,當從其性而伏之,惟黃柏之屬可以降之。按此議論若有高見,而實矯強...
物種信息 形態特徵 特徵及分布 保護價值 栽培技術前列腺和女性婦科,去皮膚濕毒、腫瘡和潰瘍。黃柏木質中的黃柏酮、黃柏鹼...珍貴稀缺 木言木語家具採用的主要木材----東北野生黃柏,屬國家瀕危保護樹種,又是久負盛譽的名貴中藥材。黃柏以野生為主,人工種植少,生長期...
品牌介紹 家具特點