概念
高斯-奧斯特羅格拉茨基公式是指在向量分析中,一個把向量場通過曲面的流動(即通量)與曲面內部的向量場的表現聯繫起來的定理。
更加精確地說,散度定理說明向量場穿過曲面的通量,等於散度在曲面圍起來的體積上的積分。直觀地,所有源點的和減去所有匯點的和,就是流出這區域的淨流量。
高斯-奧斯特羅格拉茨基公式在工程數學中是一個很重要的結果,特別是靜電學和流體力學。
在物理和工程中,散度定理通常運用在三維空間中。然而,它可以推廣到任意維數。在一維,它等價於微積分基本定理;在二維,它等價于格林公式。
這個定理是更一般的斯托克斯公式的特殊情形。
定理
設空間閉區域Ω是由分片光滑的閉曲面Σ所圍起來的三維區域,函式 P( x, y, z)、 Q( x, y, z)、 R( x, y, z)在Ω上具有一階連續偏導數,則有
高斯-奧斯特羅格拉茨基公式或
高斯-奧斯特羅格拉茨基公式這裡Σ是Ω的邊界,cos α、cos β、cos γ是Σ在點( x, y, z)處的單位法向量的方向餘弦。
高斯-奧斯特羅格拉茨基公式
高斯-奧斯特羅格拉茨基公式
高斯-奧斯特羅格拉茨基公式這兩個公式都叫做 高斯公式,不過這兩公式僅僅是表達方式不同,其實是相同的定理,這可以用變數變換得到兩公式的右邊都等於,其中 是曲面的向外單位法向量。
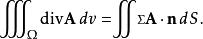
用散度表示
高斯公式用散度表示為 :
高斯-奧斯特羅格拉茨基公式
高斯-奧斯特羅格拉茨基公式其中Σ是空間閉區域Ω的邊界曲面,而是曲面Σ上的朝外的單位法向量。
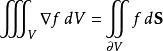
用向量表示
高斯-奧斯特羅格拉茨基公式
高斯-奧斯特羅格拉茨基公式令 V代表有一間單閉曲面 S為邊界的體積,是定義在 V中和 S上連續可微的向量場。如果是外法向向量面元,則
高斯-奧斯特羅格拉茨基公式推論
對於標量函式 g和向量場 F的積,套用高斯公式可得 :
高斯-奧斯特羅格拉茨基公式
高斯-奧斯特羅格拉茨基公式對於兩個向量場的向量積,套用高斯公式可得:
高斯-奧斯特羅格拉茨基公式對於標量函式 f和非零常向量的積,套用高斯公式可得:
高斯-奧斯特羅格拉茨基公式對於向量場 F和非零常向量的向量積,套用高斯公式可得:
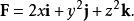
高斯-奧斯特羅格拉茨基公式例子
假設我們想要計算
高斯-奧斯特羅格拉茨基公式其中S是一個單位球面,定義為
高斯-奧斯特羅格拉茨基公式F是向量場
高斯-奧斯特羅格拉茨基公式直接計算這個積分是相當困難的,但我們可以用高斯公式來把它簡化:
高斯-奧斯特羅格拉茨基公式其中W是單位球:
高斯-奧斯特羅格拉茨基公式由於函式y和z是奇函式,我們有:
高斯-奧斯特羅格拉茨基公式因此:
高斯-奧斯特羅格拉茨基公式因為單位球W的體積是4 π3.

