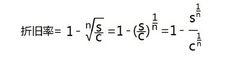
計算公式
這一固定不變的百分率即為採用該方法的折舊率,其計算公式如下:
餘額遞減法其中:n——為估計使用年限;
s——為預計殘值;
c——為固定資產原值。
運用
實例分析:
某項固定資產原始成本為10000元,預計使用年限為5年,預計殘值1000元,預計清理費用500元。則:
折舊率
=1-(1000/10000)^(1/5)
=36.90%
則每年應提折舊額計算如下:
| 年限(期末) | 折舊額(元) | 累計折舊額(元) | 淨值(元) |
| 期初原始成本 | 10000 | ||
| 1 | 3690 | 3690 | 6310 |
| 2 | 2328.4 | 6018.4 | 3981.6 |
| 3 | 1469.2 | 7487.6 | 2512.4 |
| 4 | 927 | 8414.6 | 1585.3 |
| 5 | 585 | 9000 | 1000 |
使用餘額遞減法,在計算折舊額時預計殘值並不從固定資產原值中扣除,如第一期的折舊額為10000×0.369=3690。這是因為資產帳面淨值隨著年份增多越來越少,其結果是在資產的整個使用年限內每期的折舊費越來越小。計算折舊率時已把預計殘值考慮在內,採用此方法計提折舊,能保證在整個使用壽命的期末,固定資產的帳面淨值正好等於預計殘值。

