現行標準號
標準號 StandardNo:GB1886.44—2016
中文標準名稱
StandardTitle in Chinese: 食品添加劑 抗壞血酸鈉
英文標準名稱: Food additive--Sodium ascorbate
首次發布日期 FirstIssuance Date: 1996-5-21
修改日期 Modified Date:2016
計畫編號 Plan No:
代替國標號 ReplacedStandard:
被代替國標號 ReplacedStandard:
廢止時間 RevocatoryDate:
採用國際標準號 AdoptedInternational Standard No: FCC Ⅲ:1983
采標名稱 AdoptedInternational Standard Name:
採用程度 ApplicationDegree: EQV
採用國際標準 AdoptedInternational Standard: 其他
國際標準分類號(ICS): 67.220.20
中國標準分類號(CCS): X44
標準類別 StandardSort: 產品
標準頁碼 Number ofPages:
標準價格(元) Price(¥):
主管部門 Governor: 國家標準化管理委員會
歸口單位 TechnicalCommittees: 全國食品添加劑標準化技術委員會
起草單位 DraftingCommittee: 江蘇江山製藥有限公司
範圍
本標準GB1886.44—2016適用於以抗壞血酸和鈉鹽為原料製得的食品添加劑抗壞血酸鈉。
基本信息
食品添加劑抗壞血酸鈉1、分子式
C6H7NaO6
2、相對分子質量
198.11(按2007年國際相對原子質量)
技術要求
1、感官要求
感官要求應符合表1的規定。
表1 感官要求
| 項目 | 要求 | 檢驗方法 |
| 色澤 | 白色至微黃色 | 將試樣置於白盤中,在自然光線下觀察色澤和狀態 |
| 狀態 | 結晶固體 |
2、理化指標
理化指標應符合表2的規定。
表2 理化指標
| 項目 | 指標 | 檢驗方法 |
| 抗壞血酸鈉含量(以乾基計),w/% | 99.0-101.0 | 詳見本文 |
| 乾燥減量,w/% | ≤0.25 | 詳見本文 |
| 比旋光度αm (20℃,D)/[(°)·m2·kg-1] | +103~+108 | 詳見本文 |
| pH(10%水溶液) | 7.0-8.0 | GB/T9724 |
| 重金屬(以Pb計)/(mg/kg) | ≤20 | GB5009.74 |
| 砷(As)/(mg/kg) | ≤3.0 | GB5009.76 |
| 鉛(Pb)/(mg/kg) | ≤10.0 | GB5009.75 |
檢驗方法
1、一般規定
本標準所用試劑和水在沒有註明其他要求時,均指分析純試劑和GB/T6682規定的三級水。試驗中所用標準滴定溶液、雜質測定用標準溶液、製劑及製品,在沒有註明其他要求時,均按GB/T601、GB/T602和GB/T603的規定製備。試驗中所用溶液在未註明用何種溶劑配製時,均指水溶液。
2、鑑別試驗
溶解性:
1g試樣能溶於2mL水中。
性質:
試樣中的抗壞血酸部分具有二烯醇基結構,具有強的還原性,並且具有糖類的性質。
試劑和材料:
活性炭,吡咯,鹽酸,鹼性酒石酸銅溶液,鹽酸溶液:9→1000,三氯乙酸溶液(取6g三氯乙酸加25mL三氯甲烷溶解後,加0.5mL30%過氧化氫溶液搖勻,即得),碳酸鉀溶液150g/L,焦銻酸鉀溶液(取2g焦銻酸鉀在85mL熱水中溶解,迅速冷卻,加入10mL氫氧化鉀溶液(3→20),放置24h,濾過,加水稀釋至100mL),亞甲基藍指示液(5g亞甲基藍溶於95%乙醇,用95%乙醇稀釋至1000mL)。
鑑別方法:
試樣溶液(20mg/mL)在25℃下能還原鹼性酒石酸銅溶液,加熱時更迅速。用0.5mL的鹽酸溶液酸化2mL試樣溶液(20mg/mL),加入4滴亞甲基藍指示液,40℃下溫化,深藍色3min內褪去。用15mL1∶20的三氯乙酸溶液溶解15mg試樣,加約200mg活性炭,猛烈振搖1min,用小的菊型濾紙過濾,必要時,再次過濾直至澄清,往5mL濾液中加1滴吡咯,緩慢攪拌至溶解,然後置50℃水浴上加熱,產生藍色。
呈現鈉鹽的特徵反應:
取鉑絲,用鹽酸濕潤後,蘸取試樣,在無色火焰中燃燒,火焰即顯鮮黃色。取約100mg試樣,置10mL試管中,加2mL水溶解,加2mL碳酸鉀溶液,加熱至沸,應不得有沉澱生成;加4mL焦銻酸鉀溶液,加熱至沸;置冰水中冷卻,必要時,用玻棒摩擦試管內壁,應有緻密的沉澱生成。
3、抗壞血酸鈉含量(以乾基計)的測定
試樣與碘標準滴定溶液發生氧化還原反應,根據碘標準滴定液的顏色判斷滴定終點。
試劑和材料:
碘,五氧化二磷,硫酸溶液(取57mL硫酸,緩緩注入適量水中,冷卻至室溫,加水稀釋至1000mL,搖勻),碘標準滴定溶液,澱粉指示液10g/L。
分析步驟:
稱取用五氧化二磷乾燥24h的約400mg試樣,精確至0.0002g,用100mL新沸的冷蒸餾水和25mL硫酸溶液的混合液溶解,立即用0.1mol/L碘標準滴定溶液滴定,近終點時加3mL澱粉指示液至溶液顯藍色,在30s內不退。
結果計算:
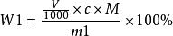
抗壞血酸鈉含量的質量分數計算:
食品添加劑抗壞血酸鈉式中:
V :試樣消耗碘標準滴定溶液的體積,單位為毫升;
1000:換算係數;
c:碘標準滴定溶液的濃度,單位為摩爾每升;
M:抗壞血酸鈉的摩爾質量,單位為克每摩爾(g/mol);
m1:試樣的質量,單位為克。
4、乾燥減量的測定
儀器和設備:
烘箱,靈敏度能控制在±2℃,裝有溫度計,溫度計插入烘箱的深度應使水銀球與待測試樣在同一
水平面上。
分析步驟:
稱取約3g試樣,精確至0.0001g,置於與試樣同樣條件下乾燥至恆重的扁形稱量瓶中,精密稱定,在105℃±2℃的條件下乾燥至恆重,從減失的重量和試樣重量計算乾燥減量。
結果計算:
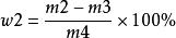
乾燥減量的質量分數計算:
食品添加劑抗壞血酸鈉式中:
m2:稱量瓶及試樣在乾燥前的質量,單位為克;
m3:稱量瓶及試樣在乾燥後的質量,單位為克;
m4:試樣的質量,單位為克。
5、比旋光度(以乾基計)αm (20℃,D)的測定
儀器和設備:
旋光儀。
分析步驟:
稱取用五氧化二磷乾燥24h的約5g試樣,精確至0.002g,加水至50mL,採用GB/T613方法測定。

