前言
本標準代替GB/T 5009.75-2003《食品添加劑中鉛的測定》。
本標準與GB/T 5009.75-2003相比,主要變化如下:
—標準名稱修改為“食品安全國家標準食品添加劑中鉛的測定”;
—增加了石墨爐原子吸收光譜法;
—樣品前處理增加了微波消解法。
範圍
本標準規定了食品添加劑中鉛的限量試驗和定量試驗方法。
本標準適用於食品添加劑中鉛的限量試驗和定量試驗。
二苯基硫巴腙(雙硫腙)比色法
原理
試樣經處理加入檸檬酸氫二銨、氰化鉀和鹽酸羥胺等,消除鐵、銅、鋅等離子干擾,在pH8.5~9.0時,鉛離子與二苯基硫巴腙(雙硫腙)生成紅色絡合物,用三氯甲烷提取,與標準系列比較做限量試驗或定量試驗。
試劑和材料
註:除非另有說明,本方法所用試劑均為分析純,水為GB/T 6682規定的一級水。
試劑
硝酸(HNO3)。
硫酸(H2SO4)。
氨水(NH3·H2O)。
鹽酸(HCl)。
酚紅(C19H14O5S)。
三氯甲烷(CHCI3 ) 。
檸檬酸氫二銨(C6H14N2O7)。
鹽酸羥胺(NH2OH·HCl)。
氰化鉀(KCN)。
二苯基硫巴蹤(雙硫蹤)(C13H12N4S)。
乙醇(C2H6O)。
高氯酸(HClO4)。
1.硝酸(HNO3)。
2.硫酸(H2SO4)。
3.氨水(NH3·H2O)。
4.鹽酸(HCl)。
5.酚紅(C19H14O5S)。
6.三氯甲烷(CHCI3 ) 。
7.檸檬酸氫二銨(C6H14N2O7)。
8.鹽酸羥胺(NH2OH·HCl)。
9.氰化鉀(KCN)。
10.二苯基硫巴蹤(雙硫蹤)(C13H12N4S)。
11.乙醇(C2H6O)。
12.高氯酸(HClO4)。
試劑配製
硝酸溶液(1+1):取50 mL硝酸慢慢加入50 mL水中。
氨溶液((1+1):取1份氨水與1份水混合。如含鉛,套用全玻璃蒸餾器重蒸餾。
酚紅指示液((1 g/L乙醇溶液):稱取100 mg酚紅,加100 mL乙醇溶解(必要時過濾)。
檸檬酸氫二銨溶液(500G/L):稱取100 g檸檬酸氫二銨,溶於100 mL水中,加兩滴酚紅指示液,加氨溶液(1 +1)調節pH至8.6~9.0(由黃變紅,再多加兩滴),用雙硫腙使用液提取數次,每次10 mL~20 mL,至三氯甲烷層至綠色且不變為止,棄去三氯甲烷層,再用三氯甲烷洗滌兩次,每次5 mL,棄去三氯甲烷層,加水稀釋至200 mL。
氨溶液(1+99):取1份氯水與99份水混合。
鹽酸羥胺溶液(200 g/L):稱取20 g鹽酸羥胺,加40 mL水溶解,加兩滴酚紅指示液,加氨溶液(1+1)調節pH至8.6~9.0(由黃變紅,再多加兩滴),用雙硫腙三氯甲烷溶液提取數次,每次10 mL~20 mL,至三氯甲烷層綠色不變為止,再用三氯甲烷洗兩次,每次5 mL,棄去三氯甲烷層,水層加鹽酸(1+1)呈酸性,加水至100 mL。
氰化鉀溶液(100 g/L):稱取10 g氰化鉀,用水溶解並定容至100 mL。
警告:氰化鉀(KCN)為危險化學品,應採取相應的防護措施。
雙硫腙儲備液(0.05%三氯甲烷溶液):稱取0.5 g研細的雙硫腙,溶於50 mL三氯甲烷中,如有殘渣,可用濾紙過濾於250 mL分液漏斗中,用氨溶液(1+99)提取3次,每次100 mL,將提取液用脫脂棉過濾至500 mL分液漏斗中,用鹽酸溶液(1+1)調至酸性,將沉澱出的雙硫腙用200 mL、200 mL、100 mL三氯甲烷分別提取3次,合併三氯甲烷層為雙硫腙儲備溶液。保存於冰櫃中。
雙硫腙使用液:吸取1.0 mL雙硫蹤儲備溶液,加9.0 mL三氯甲烷,混勻。用1 cm比色杯,以三氯甲烷調節零點,于波長510 nm處測吸光度(A),用式(1)算出配製100 mL雙硫腙使用液(70%透光率)所需雙硫腙儲備溶液的毫升數(V):
1.硝酸溶液(1+1):取50 mL硝酸慢慢加入50 mL水中。
2.氨溶液((1+1):取1份氨水與1份水混合。如含鉛,套用全玻璃蒸餾器重蒸餾。
3.酚紅指示液((1 g/L乙醇溶液):稱取100 mg酚紅,加100 mL乙醇溶解(必要時過濾)。
4.檸檬酸氫二銨溶液(500G/L):稱取100 g檸檬酸氫二銨,溶於100 mL水中,加兩滴酚紅指示液,加氨溶液(1 +1)調節pH至8.6~9.0(由黃變紅,再多加兩滴),用雙硫腙使用液提取數次,每次10 mL~20 mL,至三氯甲烷層至綠色且不變為止,棄去三氯甲烷層,再用三氯甲烷洗滌兩次,每次5 mL,棄去三氯甲烷層,加水稀釋至200 mL。
5.氨溶液(1+99):取1份氯水與99份水混合。
6.鹽酸羥胺溶液(200 g/L):稱取20 g鹽酸羥胺,加40 mL水溶解,加兩滴酚紅指示液,加氨溶液(1+1)調節pH至8.6~9.0(由黃變紅,再多加兩滴),用雙硫腙三氯甲烷溶液提取數次,每次10 mL~20 mL,至三氯甲烷層綠色不變為止,再用三氯甲烷洗兩次,每次5 mL,棄去三氯甲烷層,水層加鹽酸(1+1)呈酸性,加水至100 mL。
7.氰化鉀溶液(100 g/L):稱取10 g氰化鉀,用水溶解並定容至100 mL。
警告:氰化鉀(KCN)為危險化學品,應採取相應的防護措施。
8.雙硫腙儲備液(0.05%三氯甲烷溶液):稱取0.5 g研細的雙硫腙,溶於50 mL三氯甲烷中,如有殘渣,可用濾紙過濾於250 mL分液漏斗中,用氨溶液(1+99)提取3次,每次100 mL,將提取液用脫脂棉過濾至500 mL分液漏斗中,用鹽酸溶液(1+1)調至酸性,將沉澱出的雙硫腙用200 mL、200 mL、100 mL三氯甲烷分別提取3次,合併三氯甲烷層為雙硫腙儲備溶液。保存於冰櫃中。
9.雙硫腙使用液:吸取1.0 mL雙硫蹤儲備溶液,加9.0 mL三氯甲烷,混勻。用1 cm比色杯,以三氯甲烷調節零點,于波長510 nm處測吸光度(A),用式(1)算出配製100 mL雙硫腙使用液(70%透光率)所需雙硫腙儲備溶液的毫升數(V):
食品添加劑中鉛的測定............(1)
式中:
V—雙硫腙儲備溶液的用量,單位為毫升(mL) ;
lg70—雙硫腙使用液(70%透光率);
A—吸光度值。
10. 硝酸溶液(100):取1 mL硝酸,加水稀釋至100 mL。
標準品
高純硝酸鉛[Pb(NO3)2]:純度為99.99%或經國家認證並授子標準物質證書的標準物質。
鉛標準儲備溶液配製
鉛標準儲備溶液((1 mg/mL_):精密稱取0.159 8 g硝酸鉛標準品,加10 mL 1%硝酸溶液,溶解後定量移入100 mL容量瓶中,加水稀釋至刻度。
鉛標準使用溶液配製
鉛標準使用溶液(10 μg/mL):吸取鉛標準儲備溶液1.0 mL於100 mL容量瓶中,加水稀釋至刻度。
儀器和設備
註:所用玻璃儀器均需以硝酸溶液(1+4)浸泡24 h以上,用水反覆沖洗,最後用去離子水沖洗乾淨。
分光光度計
125 mL分液漏斗。
250 mL凱氏燒瓶或250 mL錐形瓶。
電子天平:感量為0.1 mg和1 mg。
1.分光光度計
2.125 mL分液漏斗。
3.250 mL凱氏燒瓶或250 mL錐形瓶。
4.電子天平:感量為0.1 mg和1 mg。
樣品處理
無機試樣的製備
無機試樣的“試樣處理”按照相應標準方法進行測定。
有機式樣的製備
有機試樣的“試樣處理”除已有相應標準的,按照相應標準方法進行測定外,一般按下述方法進行:
a)濕法消解:稱取5.000 g試樣,置於250 mL錐形瓶中,加10 mL硝酸,放置片刻(或過夜)後,加熱,待反應緩和後,取下冷卻,沿瓶壁加入5 mL硫酸,再繼續加熱,至瓶中溶液開始變成棕色,不斷滴加硝酸(如有必要可滴加些高氯酸),至有機質分解完全,繼續加熱,至生成大量的二氧化硫白色煙霧,最後溶液應呈無色或微黃色。冷卻後加20 mL水煮沸,除去殘餘的硝酸至產生白煙為止。如此處理兩次,放冷,將溶液移入50 mL容量瓶中,用少量水分次洗滌錐形瓶2次~3次,將洗液一併移入容量瓶中,加水至刻度,混勻備用。取相同量的硝酸、硫酸,同時做試劑空白試驗。
b)乾灰化法:本法用於不適合濕法消解的試樣。稱取5.000 g試樣於瓷增禍中,加入適量硫酸濕潤試樣,小心炭化後,加2 mL硝酸和5滴硫酸,小心加熱直到白色煙霧揮盡,移入高溫爐中,於500℃灰化完全。冷卻後取出。加1 mL硝酸溶液(1+1),加熱使灰分溶解,將試樣液轉移到50 mL容量瓶中(必要時過濾),並用少量水洗滌增禍,洗液一併移入容量瓶中,加水至刻度,混勻備用。取一增禍,同時做試劑空白試驗。
測定
限量試驗
吸取適量試樣液及鉛的標準使用溶液(含鉛量不低於5 μg),分別置於125 mL分液漏斗中,各加硝酸溶液(1%)至20 mL。
向試樣液及鉛的標準使用溶液(1 mg/mL)中各加入1 mL檸檬酸氫二銨溶液(500 g/L)、1 mL鹽酸羥胺溶液(200 g/L)和兩滴酚紅指示液,用氨溶液(1+1)調至紅色,再各加2 mL氰化鉀溶液(100 g/L) ,混勻後,加入5.0 mL雙硫腙使用液,劇烈振搖1 min,靜置分層後,三氯甲烷層經脫脂棉濾入1 cm比色杯中,于波長510 nm處,以三氯甲烷調節零點,測定吸光度或進行目視比色,試樣液的吸光度或色度不應大於鉛的標準液的吸光度或色度。
若試樣經處理,則鉛限量標準也應同法處理。
定量測定
吸取10.0 mL(或適量)試樣液和同量的試劑空白液,分別置於125 mL分液漏斗中,各加1%硝酸溶液至20 mL。
吸取鉛標準使用溶液0.0 mL、0.1mL、0.3 mL、0.5 mL、0.7 mL、1.0 mL(分別相當於0 μg、1μg、3μg、5μg 、7μg、10μg鉛),分別置於125 mL的分液漏斗中,各加硝酸溶液(1%)至20 mL。向試樣液、試劑空白液及鉛標準溶液中各加入1 mL檸檬酸氫二銨溶液(500 g/L),1 mL鹽酸輕胺溶液(200 g/L)和兩滴酚紅指示液,用氨溶液(1 +1)調至紅色,再各加入2 mL氰化鉀溶液(100 g/L),混勻,各加5.0 mL雙硫腙使用液,劇烈振搖1 min,靜置分層後,三氯甲烷經脫脂棉濾入1 cm比色杯中,于波長510 nm處,以零管調節零點,測定吸光度,繪製標準曲線。
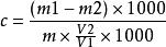
分析結果的表述
試樣中鉛含量按式(2)計算:
食品添加劑中鉛的測定……(2)
式中:
c—試樣中鉛的含量,單位為毫克每千克(或毫克每升)[mg/kg(或mg/L] ;
m1—試樣液中鉛的質量,單位為微克(μg) ;
m2—試劑空白液中鉛的質量,單位為微克(μg);
m—試樣質量(體積),單位為克(或毫升)[g(mL)] ;
V2—測定時所取試樣液體積,單位為毫升(mL) ;
V1—試樣處理後定容體積,單位為毫升(mL) ;
1 000—換算係數。
精密度
在重複性條件下獲得的兩次獨立測定結果的絕對差值不得超過算術平均值的10%。
其他
本方法檢出限為0.25 mg/kg。

