頻率穩定度測量
頻率穩定度 有時域和頻域兩種表征方式。① 時域頻率穩定度:用信號頻率 v0 的相對頻偏
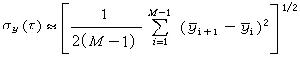
在一定的採樣時間τ內的平均值的方差來表示。一般採用無間隙雙採樣方差σy(τ)即阿侖方差的方根值作為時域頻率穩定度的統一表征量。阿侖方差可表示為 

② 頻域頻率穩定度:用頻率或相位隨機起伏的譜密度來表示。通常, 採用相對頻偏y(t)的譜密度 Sy(f)作為頻域頻率穩定度的統一表征量。此外,人們也常用相位起伏ψ(t)的譜密度Sψ(f),以及單位頻寬內一個調相邊帶功率與信號功率之比L(f)來表征。典型的振盪器和各種兩連線埠器件的頻域穩定度可用五種冪律譜噪聲的組合來近似地表示,即

頻率穩定度的測量 時域頻率穩定度的測量方法主要有五種。①差拍法:其原理如圖1。將被測信號和參考信號同時送至雙平衡混頻器,差拍出頻率為兩信號頻率差的一低頻信號,經低通濾波及限幅放大後,饋至電子計數器。計數器按選定的採樣時間τ重複測量此差拍信號的周期或頻率值(M次),再按時域頻率穩定度的估值表示式計算σy(τ)值。②雙混頻時差法:其原理如圖2。振盪器(1)為被測振盪器,振盪器(2)為參考振盪器。兩個信號分別送至一對雙平衡混頻器的相應連線埠,與公共的轉換振盪器差拍出低頻信號,用計數器測量兩差拍信號的時差,然後用σy(τ)的估值公式計算時域頻率穩定度。此方法主要適用於準確度很高且不能相互調偏的原子頻標時域穩定度的測量。③頻差倍增法:先將被測信號的頻率起伏用頻差倍增器倍增,然後用計數器測倍增後信號的頻率,按σy(τ)的估值表示式計算時域頻率穩定度。此法適用於整數定點頻率的精密頻率源的時域頻率穩定度的測量。上述三種方法主要用於短期穩定度的測量。④時差法:被測信號和參考信號分別經過分頻器分頻,並經放大整形後形成脈衝。分別送計數器的起動和停止輸入連線埠測量它們的時間間隔(即時差),然後按σy(τ)計算時域頻率穩定度。此法適用於原子鐘長期穩定度和漂移率的測量。⑤比相法:利用鑒相器比較兩同頻信號的相位,用模擬式記錄器自動記錄鑒相器輸出電壓。根據記錄的曲線可以計算被測信號的頻率漂移率和長期頻率穩定度。此法主要適用於原子頻標長期穩定度和漂移率的測量和監測。
頻率穩定度測量
頻率穩定度測量
頻率穩定度測量
