定義
什麼叫非等比例抽樣
在各層基本單位之間的差異過分懸殊、某些層的重要性大於其他層的情況下,採取非比例抽樣時,在這些層抽取的樣本數就多;反之,抽取的樣本數就少。如果採取同時兼顧層的大小和層內差異程度的大小來抽樣,則有利於提高綜合樣本對總體全貌的代表性,並可以提高樣本的可信程度。
公式
分層最佳抽樣的公式
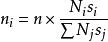
採用分層最佳抽樣法,確定各樣本數目的計算公式如下:
非比例抽樣式中: n i:第i層應抽出的樣本數目; n:樣本總數目; N i:第i層的調查單位數; S i:第i層調查單位的樣本標準差。
抽樣
分層最佳抽樣舉例
某地有居民20000戶,其中高、中、低收入戶分別為4000戶、12000戶、4000戶。又已知高收入戶的標準差為300元,中收入戶的標準差為200元, 低收入戶的標準差為100元。現要抽選200戶做樣本,進行購買力的調查,用分層最佳抽樣法分配各層的樣本數目。 本題中,已知各層居民收入標準差,即:高收入層( n1)=300、中收入層( n2)=200、低收入層( n3)=100。為了便於計算,見列表:
| 各層次(不同經濟收入) | 各層的調查單位數(戶) N i | 各層的樣本標準差(元) S i | 乘積 N i S i |
| 高 中 低 | 4000 12000 4000 | 300 200 100 | 1200000 2400000 400000 |
| 20000 | 4000000 |
按公式計算,各層的樣本數目為: 高收入層樣本數目:(戶) 中收入層樣本數目:(戶) 低收入層樣本數目:(戶) 套用分層最佳抽樣方法計算出的各層樣本抽取數同分層比例抽樣法抽出的樣本數相比較,可以看出,因各層標準差大小不同,家庭收入高的分層樣本增加了20個(從40個變為60個),家庭收入中等的分層樣本數,仍然為120個,而家庭收入低的分層樣本數減少了20個(從40個變為20個)。高收入戶和低收入戶在調查總體中單位數都是4000戶,為什麼從高收入戶中產生樣本數目是60戶,從低收入戶中產生樣本數目只有20戶。這是因為,高收入戶的標準差大(300元),從中抽取樣本數目就要多一些。低收入戶的標準差小(100元),從中抽取的樣本數可以少一些。這樣抽選到的綜合樣本比原先僅考慮分層比例抽樣得的綜合樣本更具有對調查總體的代表性,其抽樣調查推斷的總體結果準確性程度會有所提。 從理論上說,各層中的標準差估計值,反映的是各層的單位特徵值和各層平均值之間的差異。如果某層中各單位特徵值比較接近,差異較小,那么從理論上說,標準差就小。因此,少抽取一些數目的樣本,仍然可以代表、反映該層的大致情況。如果某層內各單位差異較大,那么標準差就較大,因而要適當多選一些樣本才更合理。
