簡介
圖1.霍曼轉移軌道為圖中編號2的半橢圓軌道右圖為將太空船從低軌道(1)送往較高軌道(3)的霍曼轉移軌道。太空船在原先軌道(1)上瞬間加速後,進入一個橢圓形的轉移軌道(2)。太空船由此橢圓軌道的近拱點開始,抵達遠拱點後再瞬間加速,進入另一個圓軌道(3),此即為目標軌道。要注意的是,三個軌道的軌道半長軸是越來越大,因此兩次引擎推進皆是加速,總能量增加而進入較高(半長軸較大)的軌道。
反過來,霍曼轉移軌道亦可將太空船送往較低的軌道,不過是兩次減速而非加速。
霍曼轉移軌道的兩次加速假設是瞬間完成,但實際上加速要花時間,因此需要額外的燃料來補償。使用高推力引擎所需額外燃料較小,低推力引擎則還要以控制推進時間、逐漸提高軌道來逼近霍曼轉移軌道。因此實際上ΔV會比假設情況更大且花更多時間。
計算
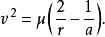
軌道上物體的總能等於動能與重力位能的和,而總能又等於重力位能(軌道半徑為軌道半長軸a時的重力位能)的一半:
霍曼轉移軌道以速度為未知解方程式,得到軌道能量守衡方程式:
霍曼轉移軌道
霍曼轉移軌道其中,v為物體的速度,為中央物體的標準重力參數,r為物體至中央物體中心的距離,a為物體軌道的半長軸。
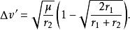
因此霍曼轉移所需的兩次ΔV為(假設速度改變是瞬間達成):
霍曼轉移軌道
霍曼轉移軌道
霍曼轉移軌道分別是原本圓軌道與目標圓軌道的半徑,其中大的(小的)對應到霍曼轉移軌道的遠拱點(近拱點)距離。
無論前往較高或較低軌道,根據克卜勒第三定律,霍曼轉移所花的時間為:
霍曼轉移軌道
霍曼轉移軌道(即橢圓軌道周期的一半),其中是霍曼轉移軌道的半長軸。

