基本介紹
圖1電離截面檢測器又稱截面積電離檢測器。結構見圖1。
電離截面檢測器當載氣進入帶有放射源的電離室時,由放射源輻射出的β粒子與載氣分子碰撞而電離。生成離子對的數目取決於放射源的放射性強度、β粒子的能量,以及載氣的電離截面積Q。如果放射源輻射的能量在氣相中消散很少,氣體近似於理想氣體性能,則電離電流 為:
電離截面檢測器式中:
電離截面檢測器——純載氣得到的電流。
電離截面檢測器——載氣分子的電離截面積。
K——由電離室的結構、極間距等幾何形狀決定的常數。
F——電離室中載氣的克分子分數,對於純載氣F=1。
P——氣體壓力。
R——氣體常數,0.0821升-大氣壓/克分子 ·度(絕對溫度)。
V——檢測器體積。
T——絕對溫度(°K)。
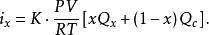
當載氣中引進組分時電流變為:
電離截面檢測器
電離截面檢測器
電離截面檢測器
電離截面檢測器式中: 組分的克分子分數, 組分分子的電離截面積。引進組分後電流變化 為:
電離截面檢測器測定電流的變化,便可測定組分的含量。
由於組分分子的有效截面積和其組成元素原子的有效截面積有加合性的關係,因此這種檢測器可以根據組分中各元素的原子截面積來預先計算其回響信號的大小。其線性範圍幾乎可以從0至100%的濃度,對於所有組分都有回響信號。缺點是靈敏度低,檢測限約為10克/秒。
檢測器用法
氣相色譜分析中,複雜組分能否分開,關鍵在於色譜柱;分離後組分能否鑑定出來關鍵在於 檢測器,所以 分離系統和 檢測系統是色譜儀的核心,檢測器的作用是檢測被色譜柱分離的樣品組分,並根據其含量大小轉變成電信號,放大後,由記錄儀記錄成色譜圖的裝置。
檢測系統主要由檢測器、放大器和記錄器等部件組成,能靈敏、快速、準確、連續地反映樣品組分的變化,達到色譜法定性、定量分析的目的。檢測器的性能要求是靈敏度高、檢測限低、死體積小、回響快、線性範圍寬、穩定性好,一般用檢測器的基線噪聲與漂移、線性範圍、靈敏度、檢測限、選擇性等參數進行評價。
放射性電離檢測器(radio ionizationdetector)是利用在電離室中放射源輻射特定射線的作用下,使被測物質通過電離室時產生離子流的變化而製成的檢測器。這一類檢測器主要有 電子捕獲檢測器、 氦電離檢測器、 氬電離檢測器、 電離截面檢測器、 電子遷移率檢測器 等。

