電能不足期望值
正文
表示電力系統由於機組受迫停運而造成的對用戶少供電能的期望值,這一指標能說明故障的嚴重程度,因為電力系統受限制的因素不僅僅是缺電力,更重要的是發電量的短缺。計算EENS指標時,一般必須先制訂發電機組的停運容量機率表和小時負荷曲線。對某一已知停運容量狀態,則每小時不足電量等於不足電力乘以此狀態的機率,即
EENS=(X-R)×P(X)
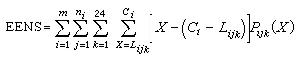
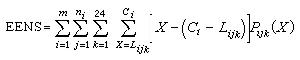
式中X為停運容量,R為系統備用容量,P(X)為停運容量為X的確切機率。一年中EENS值可由下式計算:

(X)為第i時間段第j天第 k小時停運容量大於等於X的機率,Ci為第i時間段的系統裝機容量,L
為第i時間段第j天第K小時的負荷,m為一年中時間段,ni為第i時間段中的天數,K為一天中的第K小時。 電能不足期望值綜合表達了停電次數、平均持續時間和平均停電功率。

