發展歷史
電磁血流量計在1936年首先由Kolin提出和使用,於1937年由Wetterer獨立進行完善。早期的電磁血流量計主要由1個大直流電磁鐵、1對電極、1個測量感測器組成,用於被麻醉動物的裸露大動脈在嚴格的實驗條件下進行流量記錄。
流量計的主要發展歷程:
1. 使用正弦交流勵磁磁鐵,以消除那些無關的流量感應電壓的交流信號的影響,直接耦合放大器的使用。
2. 解調技術的發展改進。
3. 引進方波和三角波勵磁方式以方便噪聲信號分離。
4. 適合手術植入的小型化電磁血流量計誕生。
5. 解決電路中造成的電氣噪音對血流量計進行改進。。
基本構造
電磁血流量計由流量感測器和電路系統組成 ,電磁血流量計感測器又稱作電磁探頭,它的作用是將血流量轉換成相應的電壓信號。在電路系統中,脈衝發生器、控制器和激勵器產生激磁電流送到電磁探頭的勵磁繞組中。探頭輸出的電壓信號經測量放大器放大後再經低通濾波放大器就得到了血流信號,最後由記錄器和指示器將血流量值記錄和顯示出來 。如圖所示。
電磁血流量計工作流程圖工作原理
電磁血流量計利用血管內流動的血液作為在磁場中運動的“導線”,血液是鹼性導電體,服從歐姆定律和麥克斯韋方程。依據法拉第電磁感應定律由脈衝發生器、控制器和激勵器產生機理電流送到電磁探頭的勵磁繞組中。由流量探頭輸出的電壓信號經測量放大器放大後再經低通濾波器就得到了血流信號,最後由記錄器和指示器將血流量值記錄和顯示出來 。
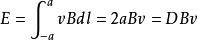
當血液以速度v勻速流動時,在恆定磁場B中切割磁力線,感應出的電動勢E值為:
電磁血流量計其中:a為血管內壁半徑,D為血管內壁直徑
優缺點
優點:可測的最小血管直徑可達1mm以下;結果較為準確;可以連續監測血流;可作為監測血流量的標準方法。
缺點:電磁血流測量屬於有損傷性測量法,測量血管內血液流量時探頭必須與血管壁貼合;易受外界電磁干擾的影響。
電磁血流量計分類
根據感測器和血管的相對位置可以分為血管外電磁血流量計和血管內電磁血流量計兩種
1) 血管外電磁血流量計的血流感測器在血管的外面,分為鉗型和管型兩種,如圖所示。
鉗型感測器一般用於心血管手術的監護,使用時選擇內孔徑與血管外徑緊密配合的探頭,將被剝露的血管經感測器的開口滑入內孔中。
管型感測器一般用於動物實驗中。使用時將被測血管切斷,把血管套封於感測器的管口上,或用導管將血液引出體外,再把導管套封於感測器的管口上。由於導管口徑可以適當選擇,故管型感測器可適應的血管直徑範圍較寬。
血管外電磁血流量計2) 血管內電磁血流量計的血流感測器在血管的裡面,分為導管尖端型和外磁場式插入型兩種。
導管尖端型電磁血流感測器是將血管置於導管尖端,用以測量血管內血流狀態的感測器。由於體積的限制,這種感測器主要用於測量主動脈根部血流,並常常同時測量主動脈血壓。這種方法難以簡便地定量確定探頭在主動脈中的位置,測量誤差最高可達20%。由於導管插入血管後,會引起血流速度的增加,故在計算血流量時還須予以校正。
外磁場式插入型血流感測器的探頭常在動物實驗中測量血管中的血流量,使用時需由外界提供磁場,如圖所示。
外磁場式插入行血流感測器故障和維護
1. 儀表無顯示
出現此故障時,因首先檢查電源是否接通,檢查電源保險絲是否完好,檢查供電電壓是否符合要求,如果上述都正常,送回生產廠家維修。
2. 勵磁報警
出現此故障時,應檢查勵磁接線X和Y是否開路,檢查勵磁線圈電阻值是否正常,以此判斷轉化器是否有故障。
3. 空管報警
出現此問題時,應檢查測量流體是否充滿感測器測量管,檢查信號連線是否正確。檢查流量感測器電極是否正常。
4. 測量的流量不準確
出現此情況時,應檢查測流體是否充滿感測器測量管,信號線連線是否正常,檢查感測器係數、感測器零點是否按感測器標牌或出廠校檢單設定。
擴展閱讀
血管是血液循環系統運輸迴路的通道,單位時間內血管中流通的血量稱為血流量。血流量的大小,首先決定於心臟輸出量的大小,同時也決定於血管對血流的阻力。血液正常的流通量標誌著心血管系統的正常功能。心臟和血管的病變都會影響血流正常運行,因此血流的測定對於檢查心血管功能,診斷血管疾病等都有實際價值。
人體血液循環示意圖除了臨床診斷需要外,在一些外科手術特別是需要施行體外循環的心臟手術中,以及人在劇烈運動或處於某些環境因素影響下(如高溫、重力、……)時,心血管系統負荷明顯加大,為了研究心血管系統的調節反應,血流量測量就更重要。
1) 心輸出量。血流量在肺動脈和主動脈處最大,因為此處血液剛離開心臟,這些地方的血流量稱為心輸出量。靜息狀態下正常成人的心輸出量一般為3.5L/min-5L/min。
2) 每搏輸出量。心輸出量被心率數除,得到每次心博的血液排出量,稱為每搏輸出量。
3) 平均循環時間。循環血流總量除以心輸出量。
4) 血流速度。單位時間內血液在血管中流過的距離,稱為血流速度,通常以m/s表示。血流速度,在血管橫截面的各處並不是常數;在血管中心處速度最大,在血管壁處速度減小至零。流過血管某一截面的血流量被該截面積除,即得到該處的血流平均速度。通常血流計所測量的是平均速度,而不是瞬時速度。
5) 血流量大小。首先取決於心輸出量大小,同由也取決於被測血管的直徑和血流速度;血流速度的測量範圍一般為0-1m/s。血流量測量的頻率範圍一般為0-20Hz,在血流動力學研究中,頻率範圍往往取0-30Hz或更寬。

