工作原理
電源濾波器主要構件
電源濾波器內部電路電源濾波器是一種無源雙向網路,它的一端是電源,另一端是負載。電源濾波器的原理就是一種--阻抗適配網路:電源濾波器輸入、輸出側與電源和負載側的阻抗適配越大,對電磁干擾的衰減就越有效。
性能測試
漏電流
漏電流性能測試泄漏電流是指在250VAC的電壓下,相線和中線與濾波器外殼(地線)間流過的電流。它主要取決於接地電容(共模電容)的取值。較大的共模電容CY可以提高插入損耗,但卻造成較大的漏電電流。泄漏電流的測試電路如圖所示:
耐壓
為確保電源濾波器的性能以及設備和人身安全,必須進行耐壓測試。耐壓測試是在極端工作條件下的測試。若CX電容器的耐壓性能欠佳,在出現峰值浪涌電壓時,可能被擊穿。它的擊穿雖然不危及人身安全,但會使濾波器功能喪失或性能下降。CY電容器除了滿足接地漏電流的要求外,還在電氣和機械性能方面具有足夠的安全餘量,避免在極端惡劣的環境條件下出現擊穿短路現象。故線一地之間的耐壓性能對保護人身安全有重要意義,一旦設備或裝置的絕緣保護措施失效,可能導致人員傷亡。
性能評定
EMI電源濾波器在使用時考慮最多的是額定電壓及電流值、耐壓性能、漏電流三項,而其中最主要的評定性能為濾波器的插入損耗性能。
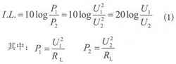
性能評定EMI電源濾波器對干擾噪聲的抑制能力用插入損耗I.L.(Insertion Loss)來衡量。插入損耗定義為:沒有濾波器接入時,從噪聲源傳輸到負載的功率P1和接入濾波器後,從噪聲源傳輸到負載的功率P2之比,用dB(分貝)表示。
頻域測試
1.插入損耗的標準測試
在標準測量法中規定,在50Ω~75Ω之間的任一阻值的系統內測試它的插入損耗特性。
2 .插入損耗的載入測試
插入損耗的標準測試在EMI濾波器產品中,由於使用不合適的材料,共模扼流圈不可能保證完全對稱會導致磁環的飽和,同時寄
生差模電感也可能產生磁環的飽和,使得濾波器的實際使用情況與廠家提供數據有很大差距,因此必須對濾波器採用載入測試。
3 .EMI濾波器的時域測試
一般地,對於EMI電源濾波器我們只關心它的常規性能及頻域抑制性能。而對於EMI信號線濾波器,由於傳輸線本身就會產生一定的電磁干擾,所以測試信號必然會產生一定的衰減。這時,我們就要對其進行時域傳輸性能上的測試。
使用50kHz的方波對電容值為8000pF的濾波插針進行濾波,發現其時域的上升沿和下降沿有明顯的變化。頻域上,經過濾波後,方波信號的高頻分量被濾除。
對於通過同一濾波插針,方波的頻率越高,其諧波信號被濾波插針衰減的將會越大,則方波的波形上升及下降時間將會越長。同樣,對於同樣的頻率波形,通過濾波插針,其濾波容值越大,方波上升時間趨緩的程度越大。
4. EMI濾波器插損自動測試系統設計
隨著EMC測試的內容日趨複雜,測試工作量急劇增加,對測試設備在功能、性能、測試速度、測試準確度等方面的要求也日益提高。在這種情況下,傳統的人工測試已經很難滿足要求,國家標準(GB)和國家軍用標準(GJB)均要求電磁兼容的檢測必須自動進行,並且對數據後處理有嚴格的要求。因此,發展EMC自動測試成為必然之路。本文所建立的自動測試系統使用了虛擬儀器技術,基於信號源一頻譜儀對EMI電源濾波器進行插損測試的系統。
安裝
1、電源濾波器的不能存在電磁耦合路徑
①電源輸入線過長;
②電源濾波器的輸入線和輸出線靠的過近。
此兩種都是不正確的安裝方式,問題的本質在於,濾波器的輸入端電線和它的輸出端電線之間存在有明顯的電磁耦合路徑。這樣一來,存在於濾波器某一端的EMI信號會逃脫濾波器對它的抑制,不經過濾波器的衰減而直接耦合到濾波器的另一端去。因此濾波器輸入與輸出先需有效分開。
另外,如上述兩種把電源濾波器都是安裝在設備禁止的內部,設備內部電路及元件上的EMI 信號會因輻射在濾波器的(電源)端引線上生成EMI 信號而直接耦合到設備外面去,使設備禁止喪失對內部元件和電路產生的EMI 輻射的抑制。當然,如果濾波器(電源)上存在有EMI 信號,也會因輻射而耦合到設備內部的元件和電路上,從而破壞濾波器和禁止對EMI 信號的抑制作用。所以起不到效果。
2、不能將線纜綑紮在一塊
一般來說,在電子設備或系統內安裝電源濾波器時要注意的是,在綑紮設備電纜時,千萬不能把濾波器(電源)端和(負載)端的電線綑紮在一起,因為這無疑加劇了濾波器輸入輸出端之間的電磁耦合,嚴重破壞了濾波器和設備禁止對EMI 信號的抑制能力。
3、要儘量避免使用長接地線
電源濾波器輸出端連線變頻器或電機的接線長度不超過30厘米為宜。
因為過長的接地線意味著大大增加接地電感和電阻,它會嚴重破壞濾波器的共模抑制能力。較好方法是,用金屬螺釘與星形彈簧墊圈把濾波器的禁止牢牢地固定在設備電源入口處的機殼上。
4、電源濾波器輸入線、輸出線必須拉開距離
電源濾波器輸入線、輸出線必須拉開距離,切忌並行,以免降低濾波器效能。
5、電源濾波器外殼與機箱殼必須良好接觸
變頻器專用濾波器金屬殼與機箱殼必須保證良好面接觸,並將接地線接好。
6、電源濾波器的連線線宜選用雙絞線
電源濾波器的輸入、輸出連線線以選用禁止雙絞線為佳,它可有效消除部分高頻干擾信號。
目的
電源濾波器的目的是在抑制電磁噪聲,噪聲的影響可分為以下二種:
發射(Emissions):是要將由設備產生,影響電源或其他設備的噪聲降到法規(例如FCC part 15)允許值以下,例如由開關電源產生的噪聲。
抗擾(Immunity):是要將進入設備的噪聲降低到不會使設備出現異常動作的程度,例如用在廣播電台發射設備中的儀器。
電源濾波器要抑制的噪聲可分為以下的二種:
共模:在二條(或多條)電源線都相同的噪聲,可視為電源線對地的噪聲。
差模:電源線和電源線之間的噪聲。
同一個電源濾波器對於共模噪聲及差模噪聲的抑制能力會有所不同,一般會用頻率對應抑制量(以分貝表示)的頻譜來說明。
基本結構
電源濾波器一般都設計為只由電阻、電容及電感組成的被動濾波器,沒有像電晶體之類的主動元件。右圖是一個電源濾波器的例子,電源濾波器的上方接電源,電源端有一個共模電感,也就是電源的二條線依同一個方向繞在鐵心上,電源線上若有共模訊號,其在共模電感產生的磁場會相加,因此有較大的阻抗,而差模訊號在共模電感產生的磁場會互相抵消,因此可以流過共模電感。電源流過的電流主要是差模的,但上面也可能會噪聲以差模的形式出現,若要抑制差模噪聲,需要另外使用差模電感,或是各相有個別的電感器。
在電源濾波器上會使用特別的安規解耦電容,分為X電容及Y電容二類:
X電容:抑制差模干擾(電源線之間的干擾)。
Y電容:抑制共模干擾(各組電源線對地之間的干擾)。
由於Y電容提高會使電器的漏電流增加,而電器的漏電流有其規定範圍,因此Y電容不能太大,一般都會比X電容要小。
X電容和Y電容屬於安規電容,即其失效後不會造成電擊,也不會影響人身安全。二者都有自我復原(self-healing)作用,會使局部短路的部份恢復原來的絕緣狀態。
常見錯誤
在實驗測試過程中,我們常遇到這樣的情況:雖然設計工程師在設備電源線上接了電源濾波器,但是該設備還是不能通過"傳導騷擾電壓發射"測試,工程師懷疑濾波器的濾波效果不好,不斷更換濾波器,仍不能得到理想的效果。
分析設備超標的原因,不外乎以下兩個方面:
1)設備產生的騷擾太強;
2)設備的濾波不足。
對於第一種情況,我們可以通過在騷擾源處採取措施,降低騷擾的強度,或者增加電源濾波器的階數,提高濾波器對騷擾的抑制能力來解決。對於第二種情況,除了濾波器自身性能不好以外,濾波器的安裝方式對它的性能影響很大。這一點往往是被設計工程師忽視的。在很多測試中,我們通過更改濾波器的安裝方式就能使設備順利通過測試。下面是一些常見的濾波器錯誤安裝方式對濾波器性能影響的實例。
輸入線太長
許多設備的電源線進入機箱後,經過很長的導線才接到濾波器的輸入端。例如,電源線從機箱後面板輸入,走行到前面板的電源開關,又回到後面板接到濾波器。或者濾波器的安裝位置距離電源線入口較遠,造成引線太長。如圖1所示。
電源線過長示意圖圖1 電源線過長示意圖
由於電源入口到濾波器輸入端的引線過長,設備產生的電磁騷擾通過電容性或電感性耦合,重新耦合到電源線上,而且騷擾信號的頻率越高,耦合越強,造成實驗失敗。
平行走線
有的工程師為了使機箱內部的走線美觀,常常把線纜綑紮在一起,這對電源線是不允許的。如果把電源濾波器的輸入輸出線平行走線或綑紮在一起,由於平行傳輸線之間存在分布電容,這種走線方式相當於在濾波器的輸入輸出線之間並接了一個電容,為騷擾信號提供了一條繞過濾波器的路徑,導致濾波器的性能大幅下降,頻率很高時甚至失效(如圖2所示)。等效電容的大小與導線距離成反比,與平行走線的長度成正比。等效電容越大,對濾波器性能的影響越大。
平行走線對濾波器的影響圖2 平行走線對濾波器的影響
接地和殼體
這種情況也比較普遍。許多工程師安裝濾波器時,濾波器的殼體和機箱之間搭接不良(有絕緣漆);同時,使用的接地線較長,這將導致濾波器的高頻特性變壞,降低濾波性能。由於接地線較長,在高頻時導線的分布電感不能忽視,如果濾波器搭接良好,干擾信號可以通過殼體直接接地。如果濾波器的殼體和機箱之間搭接不良,相當於濾波器的殼體(地)與機箱之間存在一個分布電容,這將導致濾波器高頻時接地阻抗較大,尤其在分布電感和分布電容諧振的頻率附近,接地阻抗趨於無窮。濾波器接地不良對濾波器性能的影響如圖3所示。
從圖3中可以看到,由於濾波器接地不良,接地阻抗較大,有一部分騷擾信號能通過濾波器。為了解決搭接不良,應把機箱上的絕緣漆刮掉,保證濾波器殼體和機箱有良好的電氣連線。
在這種安裝方式下,濾波器的殼體和機殼接觸良好,堵住電源線在機箱上的開口,提高了機箱的禁止性能;另外,濾波器的輸入輸出線之間有機箱禁止相隔離,消除了輸入輸出線之間的騷擾耦合,保證濾波器的濾波性能。
濾波器接地不良對濾波器性能的影響圖3 濾波器接地不良對濾波器性能的影響
濾波器的安裝方式直接影響了濾波器的濾波效果,為了充分發揮濾波器的性能,在安裝濾波器時應遵循以下原則:
電源濾波器1)在電源入口處就近安裝,最好用濾波器殼體蓋住機箱上的電源線入口孔,如圖4所示;
2)接地線越短越好;
3)濾波器殼體與機箱良好搭接;
4)濾波器輸入輸出線分開,不能並行或交叉;
5)避免濾波器附近有強幹擾源。
圖4 電源濾波器安裝示例
實驗結果表明:一方面,以現有電磁脈衝模擬器為基礎,可產生滿足標定要求的脈衝電場,實驗中電場感測器測量波形與模擬器負載電壓測量波形一致,採用分壓器測得電壓可獲得標準裝置內的電場;另一方面,不同校準裝置中獲得的標定數據一致性較好。在本文研究中未考慮感測器的置入對場的均勻性的影響,下一步研究中將進一步評估。

