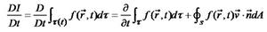
某時刻一可變體積上系統總物理量的時間變化率,等於該時刻所處控制體中物理量的時間變化率加上單位時間通過該控制體邊界淨輸運的流體物理量。
雷諾輸運定理流體力學中關於系統總物理量的時間變化率的一個定律。
某時刻一可變體積上系統總物理量的時間變化率,等於該時刻所處控制體中物理量的時間變化率加上單位時間通過該控制體邊界淨輸運的流體物理量。
雷諾輸運定理1.2.2雷諾輸運方程1.2.3連續方程1.2.4雷諾第二輸運方程1.2.5...紊流連續方程和雷諾方程7.2紊流能量方程7.2.1紊流瞬時流動的總能量... Helmholtz微元速度分解定理1.2.3 應變率張量1.2.4 渦...
2011年清華大學出版社出版圖書 2009年高等教育出版社出版圖書方程式 1.2.1研究流體運動的兩種方法 1.2.2雷諾輸運方程 1.2.3連續方程 1.2.4雷諾第二輸運方程 1.2.5動量方程...雷諾方程 7.2紊流能量方程 7.2.1紊流瞬時流動的總能量方程...
圖書簡介 目錄 內容簡介 目錄速度分解定理 6.1.1雷諾圓管流動顯示實驗 1.2.3應變率張量... 7.3.2脈動方程 2.7.1固壁邊界條件 第4節雷諾應力和雷諾應力輸運... 第3章粘性流體運動方程的精確解 7.4.2雷諾應力和湍動能的輸運方程 第...
內容簡介 教材目錄 教材特色 作者簡介姆霍茲三定理1355.4理想流體的渦量輸運方程*1385.5渦旋...格朗日積分、動量定理和動量矩定理流體渦旋運動基本理論講述速度環量定理、渦旋運動基本定理、渦旋誘導的速度場勢流理論講述復勢和復速度、典型平面流動...
內容簡介 目錄出流,泄水建築物下游水流的銜接與消能,滲流,污染物的輸運和擴散,水力相似...。(3) 增加了“污染物的輸運和擴散”一章,以適應多種專業的教學要求...724.3.1 雷諾試驗724.3.2 沿程損失hf和平均流速v的關係...
作者介紹 圖書簡介 前言 目錄孔出流,泄水建築物下游水流的銜接與消能,滲流,污染物的輸運和擴散,水力...運動的兩種流態--層流和紊流724.3.1 雷諾試驗724.3.2 沿程損失?h??f和平均流速?v?的關係734.3.3 流態的判別--雷諾...
內容簡介 目錄廣義高斯定理與斯托克斯定理1.4.1廣義高斯(Gauss)定理1.4.2斯托克斯(Stokes)定理1.4.3標量勢、向量勢及調和場1.5正交...的組成分析2.3.3海姆霍茲速度分解定理2.4有旋流動的一般性質2.4.1渦線...
書籍信息 內容簡介 圖書目錄流體運動的兩種方法1.5.2隨體導數1.5.3系統與控制體1.5.4雷諾輸運定理1.5.5跡線、流線、流面及流管1.6熱力學基礎知識1.6.1...物理屬性1.2.1連續介質模型及流體物理量1.2.2氣體的壓縮性及輸運...
書籍信息 內容簡介 圖書目錄1.1流體的輸運性質1.2輸運定理1.3連續方程1.4運動方程1.5能量...了矢性流函式-渦量法,主要闡述李有章正交曲線坐標系下的渦量輸運方程,矢性...4.6雷諾應力方程模型4.7其他模型及方法參考文獻5邊界層5.1邊界層...
內容介紹 作品目錄