頻譜
DSB-SC從根本上說是無載波的調幅,因此減少了功率的浪費,讓它的效率達到了50%。這相對於最大效率為33.333%的普通AM傳輸(DSB)在效率上有所提升,因為功率的2/3用在傳輸載波和含有相同信息的雙邊帶 的另一個邊帶了。單邊帶(SSB)抑制載波的效率為100%。
圖1 DSB-SC信號頻譜圖產生
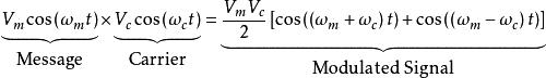
DSB-SC由混頻器產生的。這是由載波信號乘以訊息信號構成的。該過程的數學表示如下所示,其中用到了積化和差公式。
雙邊帶抑制載波傳輸
圖2 DSB-SC信號構成圖解調
解調是通過將DSB-SC信號與載波信號相乘得到的。得到的信號然後通過一個低通濾波器以取出低頻分量產生原始訊息信號。如果調製指數小於1,DSB-SC可以像AM一樣,用簡單的包絡檢波器解調。全深度調製需要載頻重置。
雙邊帶抑制載波傳輸
雙邊帶抑制載波傳輸
雙邊帶抑制載波傳輸
雙邊帶抑制載波傳輸上面的公式表明,通過調製信號乘以載波信號,得到的是原始訊息信號加上另一項的版本。由於 ,第二項的頻率要比原始訊息信號高得多。一旦此信號通過低通濾波器,高頻率分量被去除,只留下原始訊息。
失真和衰減
對於解調,解調振盪器的頻率和相位必須與調製振盪器完全相同,否則將發生失真或衰減。要得到此效果,需要以下條件:
雙邊帶抑制載波傳輸1、要傳送的訊息信號:
雙邊帶抑制載波傳輸2、調製(載波)信號:
雙邊帶抑制載波傳輸3、(與調製信號的頻率和相位偏差很小的)解調信號:
因此得到的信號為:
雙邊帶抑制載波傳輸
雙邊帶抑制載波傳輸
雙邊帶抑制載波傳輸
雙邊帶抑制載波傳輸
雙邊帶抑制載波傳輸
雙邊帶抑制載波傳輸項會導致訊息信號的失真與衰減。特別地,若頻率正確,但相位錯誤,的貢獻是恆定衰減因子,而 表示復原信號的循環反轉,是嚴重的失真。
圖3DSB-SC解調原理工作原理
下面用圖示來說明DSB-SC的工作原理。下面是一個訊息信號,想要調製到載波上,由幾個正弦分量組成。
雙邊帶抑制載波傳輸
雙邊帶抑制載波傳輸這個訊息信號的方程是
雙邊帶抑制載波傳輸此例中載波為 5 kHz()正弦波—作圖如下。
雙邊帶抑制載波傳輸調製是通過時域乘法實現的,產生一個 5 kHz 載波信號,其幅度變化與訊息信號相同。
雙邊帶抑制載波傳輸
雙邊帶抑制載波傳輸"抑制載波"的名稱是因為載波信號分量被抑制,載波不會出現在輸出信號中。觀察輸出信號頻譜就很明顯:
雙邊帶抑制載波傳輸