簡介
雙臂螺旋天線使用平行雙線纏繞柱狀介質棒而成,平行雙線是一種開放式的傳輸線,其電場向外部延伸。當平行雙線扭曲變形時就會引起輻射,其饋電點相位差180。
優點
單臂螺旋天線增益比雙臂螺旋天線低2 dB,四臂螺旋天線要求各線的饋電相位分別為0°,90°,180°,270°,這就勢必要求比較複雜的饋電網路.而雙臂螺旋天線正好彌補了它們的缺點。
套用
隨著衛星無線電導航業務的迅猛發展,越來越多的國家開始發展自己的導航通信系統。由於各種導航通信系統的衛星在空問的分布有限,因此在低信息速率、小容量的衛星導航通信系統中,要求所用終端的天線具有體積小,損耗低,極化為圓極化,俯仰面要寬和方向圖為全向方位面。雖然單臂螺旋天線和四臂螺旋天線經常放採用,然而單臂螺旋天線增益比雙臂螺旋天線低2 dB,四臂螺旋天線要求各線的饋電相位分別為0°,90°,180°,270°,這就勢必要求比較複雜的饋電網路.而雙臂螺旋天線正好彌補了它們的缺點。通過調節螺旋的物理參數.能夠得到主瓣指向衛星的賦形波束,所以在衛星導航通信系統中雙臂螺旋天線成了一種適宜的選擇。
分析及性能研究
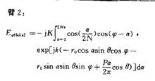
雙臂螺旋天線的雙臂上電流近似為
電流公式
雙臂螺旋天線
雙臂螺旋天線上述公式中參量的意義如圖2所示,雙臂輻射的電場在空間進行矢量疊加就形成了最終的方向圖。
雙臂螺旋天線模型仿真結果如圖3所示。為了儘可能使電流在螺旋線末端近乎為零,使所有能量輻射出去,同時折衷結構的尺寸要求,需最佳化出雙臂螺旋天線基本尺寸,如螺旋線半徑、介質桿半徑、螺旋半徑、螺距和螺旋圈數以及平衡器開槽深度0.25λ。計算結果表明,當圈數適當時這種雙臂螺旋天線的尾瓣很小,具有寬的方向圖,波束寬度能夠達到110°以上,在波束寬度內軸比小於3 dB,方位面為全向輻射,而且增益能夠達到6.1 dB,具有良好的匹配性能。
雙臂方形螺旋天線
雙臂方形螺旋的外形方形螺旋天線就是所說的阿基米德圓形螺旋的對應物. 到目前為止, 方形螺旋的大部分工作都是實驗性的, 並 且這個天線的設計還只是以電流帶理論為基礎。
雙臂方形螺旋的幾何圖形示於圖。螺旋臂A 和螺旋臂B 由平面上的多根金屬線纏繞。第n條金屬線的長度I由下式確定
雙臂螺旋天線因此, 第n 條線從原點到任意點的位矢量由下式給出
雙臂螺旋天線式中x和y是直角坐標的單位矢量, £是從饋電點到天線臂的距離. 三角函式被用來表0和±1。

