產品簡介
在水電廠、火電廠及大型泵站油系統的漏油箱、回油箱及有油水熱交換的油槽中,如果混入水,就會造成許多危害,主要危害有:①水與油起反應,形成酸、膠質和油泥。②降低潤滑性,加速高應力部件的磨損。③造成控制閥的粘結或其他低壓部位產生氣蝕損害;④腐蝕、鏽蝕金屬。因此必須要加強對油中水含量的監測,使用戶可以及時對油進行檢測和處理,確保系統正常運行。
OMS雙接點油混水變送器採用專用電路設計測量油中的含水量,可提供多個報警點輸出,多個報警點設定連續可調,還可根據需要提供4-20mA輸出或1-5V輸出,是一款性能極高的油混水控制器。OMS雙接點油混水變送器可廣泛套用於石油、化工、電力、水處理、冶金、造紙、船舶和鍋爐等各行各業的液位測量。
OMS油混水變送器工作原理
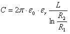
OMS雙接點油混水變送器的感測器是一個圓柱型電容,圓柱型電容器的公式是:
公式其中,e0=8,854x10(真空介電常數),
er=兩極間的介質的介電常數,
L=圓柱體的高度;
R1=內電極的外徑;
R2=外電極的內徑。
對於每個特定的產品,除了er(兩極間的介質的介電常數)以外的參數都已經固定。
在正常情況下,被測介質為純油,也就是說含水量位0%,這時er=ε(油)為一個固定值,當油中含有水後,由於水的介電常數遠大於大油,這時的er=ε(油含水)將發生明顯變化,也就是說如果圓柱型電容感測器內的液體中的含水量發生變化,則介電常數發生變化,那么感測器的電容也發生變化,電容值隨著含水量的多少變化,通過測量電容值就可以推算出液體的含水量。當油中的含水量達到設定值時,控制器輸出報警接點信號。這種圓柱型電容感測器的好處就是解決了電磁場的禁止問題,所測量的結果準確,精度高,溫飄小,不受外界的影響。
產品特點
★圓柱型電容設計,抗電磁干擾
★採用專用晶片檢測電容,準確可靠,溫飄小
★檢測範圍寬(0%-10%)
★多個報警點,且報警點連續可調
★每個報警點的報警方式可以自行設定
★安裝方便,易於維護
產品最大的優點
有兩個報警點,報警點連續可調
兩個報警點的報警方式可以現場設定為上限報警,還是下限報警
技術參數
工作電壓:DC24V,AC/DC110V,AC/DC220V
報警點數量:1-2
報警方式:可現場設定上限或下限報警
接點容量:5A/30VDC、5A/250VAC
模擬量輸出:4-20mA或1-5V(特殊要求)
介質溫度:0~100℃
探頭材質:黃銅
工作壓力:≤2MPa
功耗:≤1W
防護等級:IP65
