基本介紹
凸極同步發電機的氣隙是不均勻的,極弧下氣隙較小,極間部份氣隙較大。因此同一電樞磁勢作用在不同的位置時,電樞反應將不一樣大。圖1和圖2表示同樣大小的電樞磁勢分別作用在直軸和交軸位置時,電樞磁場的分布圖。
圖1直軸電樞磁場
圖2 交軸電樞磁場
雙反應理論
雙反應理論
雙反應理論當正弦分布的電樞磁勢作用在直軸上時,若極弧下的氣隙為均勻,則在極中心下,直軸電樞磁場最強,極弧下的電樞磁場近於正弦分布;在極間部份, 由於電樞磁勢較小,氣隙又較大,電樞磁場就得弱,如圖1所示。當電樞磁勢作用在交軸位置時,由於極間區域氣隙較大,故交軸電樞磁場較弱,整個磁場呈馬鞍形分布,如圖2所示。由於電樞反應主要系指電樞磁勢對主極基波磁場的影響,所以在圖1和圖2中,同時畫出直軸和交軸磁場的基波。不難看出,若電樞磁勢為同樣大小,則直軸電樞磁場基波的幅值將比交軸電樞磁場基波的幅值大,即
雙反應理論
雙反應理論當電樞磁勢恰好作用於直軸()或交軸()位置時,由於對稱的關係,電樞反應是不難確定的。但在一般情況下,電樞磁勢可能既不和直軸亦不和交軸重合,此時電樞反應的大小就難於直接確定。勃朗台爾(Blondel)提出:當電樞磁勢既不和直軸又不和交軸重合時,只要把電樞磁勢分成直軸和交軸兩個分量,如圖3所示,然後分別求出直軸和交軸磁勢所生的電樞反應,最後再把它們的效果疊加起來,這樣一種考慮到凸極電機中氣隙的不均勻性,把電樞反應分為直軸和交軸電樞反應的處理方法,就叫做 雙反應理論。
圖3 把凸極同步發電機的電樞磁勢分解為直軸分量和交軸分量直軸和交軸電樞等效磁勢
為了適應通常的磁化曲線,需要把電樞磁勢換算到勵磁繞組一邊。
圖4凸極同步發電機主極磁場的分布
雙反應理論
雙反應理論
雙反應理論圖4表示凸極同步發電機主極磁場的分布。設主極磁場基波的幅值與主極磁場幅值之比為,即
雙反應理論
雙反應理論
雙反應理論
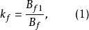
雙反應理論相應地,直軸電樞磁場基波的幅值與直軸電樞磁場幅值之比用表示,即
雙反應理論
雙反應理論
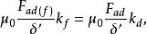
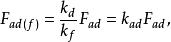
雙反應理論如令表示直軸電樞磁勢換算到勵磁繞組邊的等效磁勢,則在氣隙內產生的基波磁場幅值應為
雙反應理論
雙反應理論而在氣隙內產生的基波磁場幅值應為
雙反應理論
雙反應理論其中為有效氣隙。由於換算前後相應磁勢所產生的基波磁場應該相等,所以
雙反應理論或
雙反應理論
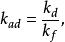
雙反應理論式中:——直軸電樞磁勢的換算係數
雙反應理論
雙反應理論
雙反應理論
雙反應理論的意義為:產生同樣大小的基波磁場時,單位安匝的直軸電樞磁勢相當於多少勵磁磁勢。這樣,把直軸電樞磁勢乘上係數,就可以得到勵磁繞組邊的等效磁勢。
雙反應理論同理,可得交軸電樞等效磁勢為
雙反應理論
雙反應理論式中:——交軸電樞磁勢的換算係數。
圖5
雙反應理論
雙反應理論
雙反應理論
雙反應理論
雙反應理論
雙反應理論
雙反應理論圖5表示極弧下最大與最小氣隙之比,氣隙與極距之比時,在不同的下的和值。這些曲線是用作圖法畫出氣隙內主極磁場和電樞磁場的分布,然後用諧波分析確定其基波,再算出和值之後畫出的 。

