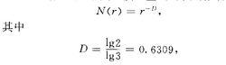
隨機分形(random fractal)採用隨機生成機制而得到的分形集.分形體不具有特徵尺度(亦即大小尺度跨好幾個量級),卻有自相似結構的分形.如康托爾集合,它由反覆進行每次去其線段中間三分之一的操作而形成.用尺度r量出的積的數目就是
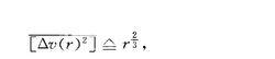
隨機分形就是康托爾集合的維數. 自然界中還有許多無特徵尺度現象,它們雖不像康托爾集合那樣是嚴格意義上的分形,但其統計特徵和尺度在雙對數坐標上仍可找到一個不變數. 這時的分形就稱為隨機分形.例如,相距為r的兩點的速度差△v=v (x+r) -v (x)的統計特徵,其二階結構函式滿足
隨機分形這裡數2/3是不變數,該式是湍流的一個重要特徵.
