限制邏輯限制歲在一個低階公式(一階公式)A的所有屍極小(化模型中都為真的一個較高階公式(二階公式),這J屍是A中相對於一定準則的極小變數.直觀上,{制的基本思想是捕捉一種猜測推理的經濟原則,I從某些事實A出發能夠推出具有某一性質屍的歹象就是滿足屍的全部對象.令A(P,x)是一個包含謂詞P與變元x的一l
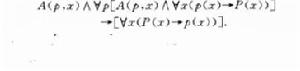
句子,語義上,A中限制屍,是相對於一個偏序毛的所有屍極小模型都為真的句子集,一個A的模2M稱為極小的,若不存在它的其他模型M‘使得幾鎮PM,定義鎮P如下:令Mi}t=1,2},是兩個模型M, <PMz,若且唯若(1)M,與M2具有相同的論域(2)P在M,的外延包含於屍在M2的外延,語法上限制可刻畫為如下二階句子:
其中p是謂詞變元,A(p,x)是A中以p替換P的
結果.
