六、阿哈羅諾夫-玻姆效應
Y. Aharonov and D. Bohn, Phys. Rev. 115, 485 (1959)
R. G. Chambers, Phys. Rev. Lett. 5, 3 (1960)
在經典電動力學中,場的基本物
理量是電場強度E和磁感應強度B,
勢A和ψ是為了方便而引入的,它
們不是有直接觀測意義的物理量。
但是在量子力學中,勢A和ψ具有可
觀測的物理意義.
阿哈羅洛夫-波姆(Aharonov-Bohn)效應電子雙縫衍射實驗裝置圖。從電子槍發射出的
電子經雙縫分為兩束,到達螢幕上產生干涉圖
樣。在雙縫後面放置一個細長螺線管,當螺線
管通以電流,發現干涉條紋移動。實驗中小心
的排除了螺線管外部的磁場。那么是什麼原因
使得干涉條紋發生移動的呢?
也許有人會認為,是螺線管內的B直接作用到
管外的電子上,但是這種想法是和局域相互作用的
原理相違背的。我們知道,局域相互作用是電磁相
互作用的一個基本原理,既某點上的電荷電流僅受
到該點鄰域上場的作用。其實, A-B效應是一個量
子力學現象, A-B效應的存在揭示了經典電動力學
的缺陷,即說明磁場的物理效應不能完全用B來描
述。
當螺線管內有磁通φ時,電子經過的外部
空間B=0,但A≠0 時,因為對包圍螺線管
的任一閉合迴路路徑積分有
∫ A⋅ dl = Φ (注意矢勢連續)
矢勢A可以對電子發生相互作用。因此,A-B效
應表明A具有可觀測的物理效應,它可以影響電
子波束的相位,從而使干涉條紋發生移動。
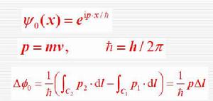
阿哈羅洛夫-波姆(Aharonov-Bohn)效應自由運動電子 由平面波函式描述
螺線管通電時管外A≠0(邊界條件),電子
波函式用正則動量描述
ψh ( ) P l x e i d
0
螺線管通電時管外A≠0(邊界條件),電子
波函式用正則動量描述
P = p − eA = mv − eA,
Φ
h
e
導致干涉條紋的移動
在量子物理中,矢勢A所處的地位比在經典電動力學
中重要得多。A-B效應表明,僅用B來描述磁場是不
夠的。但是,由於規範變換所引起的A的任意性,用
A來描述磁場顯然又是過多的。對實驗分析表明,能
夠完全恰當地描述磁場的物理量是相因子
若C為可以縮小到一點的無窮小路徑,則
A l B S C ∫ ⋅ d = ⋅ Δ
因此相因子描述等價於局域場B(x)的描述。若C為不能
收縮到一點的路徑,如在A-B效應中的閉合迴路,則此
相因子所包含的物理信息就不能用局域場B(x)描述
