阿伏伽德羅定律的文字表述為:“在同溫同壓下,相同體積的不同氣體具有相同數目的分子。”
林則東在《論阿伏伽德羅常量》一文中根據阿伏伽德羅定律的文字表述給出了阿伏伽德羅常量的數學表達式
阿伏伽德羅定律數學表達式
阿伏伽德羅定律數學表達式
阿伏伽德羅定律數學表達式
阿伏伽德羅定律數學表達式式中代表氣體的體積,代表氣體分子數,為比例係數 。
阿伏伽德羅定律數學表達式氣體分子數是一個龐大的數,為了計算方便,物理學家引入了物質的量這一物理量
阿伏伽德羅定律數學表達式
阿伏伽德羅定律數學表達式式中為阿伏伽德羅常量。
阿伏伽德羅定律數學表達式將該式代入上式可得
阿伏伽德羅定律數學表達式其中即為氣體摩爾體積。
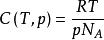
阿伏伽德羅定律數學表達式根據理想氣體的狀態方程
阿伏伽德羅定律數學表達式我們可以得出
阿伏伽德羅定律數學表達式
阿伏伽德羅定律數學表達式
阿伏伽德羅定律數學表達式當,,

