名詞信息
阻力 zǔlì (1) [Obstruction;Resistance]∶
例:衝破各種阻力
(2) [Resistance;Drag]∶妨礙物體運動的作用力
例:空氣阻力
詳細釋義
阻力[漢語詞語]阻力,又稱 後曳力、 空氣阻力或 流體阻力,是物體在流體中相對運動所產生與運動方向相反的力。阻力的方向和其所在流場的流速方向相反[1]。一般摩擦力不隨速度變化而變化,但阻力會隨速度而變化[2]。
對於一個在流體中移動的物體,阻力為周圍流體對物體施力,在移動方向的反方向上分量的總和。而施力和移動方向垂直的分量一般則視為升力。因此阻力和物體移動方向恰好相反,像飛機前進時會產生推力來克服阻力的影響。
在航天動力學中,大氣阻力可以視為太空飛行器在發射時的低效率,其影響則是在發射時需要額外的能量,不過在返回軌道時大氣阻力有助於太空飛行器減速,可減少減速額外需要的能量,不過大氣阻力產生的熱量甚至可以將物體熔化。
阻力與摩擦力並不相同,因為摩擦力有時可以是動力(例如:傳送帶送貨物)。
阻力強度
阻力[漢語詞語]
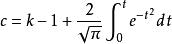
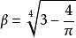
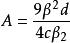
阻力[漢語詞語]物體運動阻力與截面積比值,利用分子速率分布函式,可以推道出阻力強度的方程式:不考慮體型係數,按圓形平板計算,則阻力強度如下: 為後端體型係數,k 為前端體型係數
阻力[漢語詞語]x=v/a,t=v物體/a.po為空氣壓強。。結果為
阻力[漢語詞語]
阻力[漢語詞語]
阻力[漢語詞語]
阻力[漢語詞語]
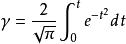
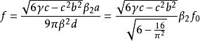
阻力[漢語詞語]此阻力壓強,未計算側面摩擦阻力所產生的阻力。僅僅由正面大氣直接對撞所產生的阻力,結果中積分函式γ在t>=3時可以直接取 ,分子前端與後端對稱時k=1.
阻力[漢語詞語]
阻力[漢語詞語]T為絕對溫度,M取空氣平均分子量29X10^-3kg,po為大氣壓強。
空氣分子自由震盪頻率
如果所有運動阻力作為空氣受力,計算速度大於3a的高速分子震盪頻率,忽略無窮小量,按上公式得出:
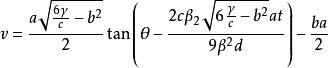
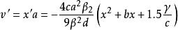
微分方程為:注意下列公式中t為時間變數,與上式不同。並且忽略聯動關係
阻力[漢語詞語]
阻力[漢語詞語]本方程作為近似解處理的,c 與b值實際對方程有影響 :
頻率為:
阻力[漢語詞語]
阻力[漢語詞語]
阻力[漢語詞語]
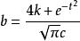
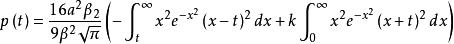
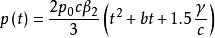
阻力[漢語詞語]d為氣體平均立方邊長,極限頻率約為3.4933*10^10赫茲,實際頻率與k,b有關,並且小於此值。低速的頻率會小於此數,k的取值在 ,當氣體速度在 約50m/s以上時,方程才是振盪函式,而且頻率在0到極限頻率之間。分子振幅為 與b,c值存在關係,振幅為 ,函式部分是餘弦的對數函式,初始角θ與重力相關,是分區間,不連續的,振動表現為量子特徵,不是所有區間有定義。,就是其在做高速直線運動時,自身在做自體震盪。對於速率求導,發現加速度非常巨大,反應這個力應該是核力或者分子間力,應該是熱的源動力。方程如此處理是因為完全解非常困難。低速情況, 即小於對應的最低速度以內不太實用此方程。此方程可以認為是氣體熱力方程,在t值小於0.126653373707962時或者k小於0.142152522667167時是非振盪的周期函式,壓強在低速區趨近線性b值很大,在高速區b值趨近於2,壓強趨於變數v的二次方函式。圖像如下
阻力[漢語詞語]![阻力[漢語詞語] 阻力[漢語詞語]](/img/3/2d9/nBnauM3XzETN1kDN1UjN0ETN1UTM1QDN5MjM5ADMwAjMwUzL1YzL4IzLt92YucmbvRWdo5Cd0FmLyE2LvoDc0RHa.jpg)
