阮鵬:
07年某軍區演講現場四川越野探險科考大隊隊長 ,運動員級科研學者兼科普作家。成都醫學院培養的“科研小能手”,被譽為成都醫學院“科研新星”,百度知道認證專家,百度百科學術委員。
碩士學歷,承擔主研社會科學類科研項目10餘項,發表中文核心、科技核心、CSSCI\CSCD期刊40餘篇。出版專著5部,獲國家專利7項。
一、其它發表
在《心理醫生》、《心理與健康》、《校園心理》、《百科知識》、《家庭醫學》、《家庭用藥》、《醫藥與保健》、《現代教育報》(高考版)、《現代護理報》、《高考雜誌》、《健康報》、《親職教育報》、《四川科技報》、《生命時報》、《醫師報》,以及《敦煌詩刊》、《新作文》、《現代大學生》、《四川日報》、《四川政協報》、《中國教育報》、《健康報》、《微型小說選刊》、《科幻大王》等發表科普與文學作品100餘篇。
二、出版
08年抗震救災總結表彰現場1、中醫心理救援,科技出版社,2014年
訓練現場2、趣味心理學,四川教育出版社,2010.04
3、考試身心健康指南,光明日報出版社,2007.10
4、醫學期刊評價與投稿,光明日報出版社,2007.10
中學科普講座之行
北京鳥巢參觀5、突破大學五十五道侃,廣東語音出版社,2007.06
6、文學專輯1冊,重慶出版社,2003.07
三、主要獲獎
1、“杏壇杯”全國校園文學大賽一等獎、二等獎各一項,2005年
2、第四屆健康杯全國中國小心理健康教育成果二等獎,2006年
3、第三屆梁斌文學獎,2007年
4、第五屆四川省優秀科技工作者
5、四川省50年來50位優秀科普作家之一
6、四川教育廳十一屆高教科研成果三等獎
7、四川省教育廳第十屆哲學社科成果三等獎
四、媒體報導
先後有:《教育導報》《中國大學生就業》、《現代大學生雜誌》、《天府早報》、《中國醫學倫理學》、《小說評論》等介紹個人及科研成果。
五、個人貢獻簡介
主要遊歷在社會科學、心理學、文學、體育、軍事、科考等領域。
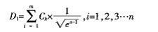
其學術貢獻主要體現在定量評價方面,如對科技人員及其科研業績的定量評價,提出了一套評價公式,並獨創的研發了不同層次科技人員的激勵計算法公式,該成果發布在國家自然基金委A類學科雜誌,CSCD與CSSCI期刊《科研管理》雜誌上。
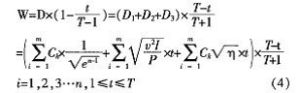
科技人員評價數模
貢獻法公式阮鵬對新型傳染病帶來的社會危害研究,針對新型傳染病的社會威懾力和相關謠言的傳播規律提出了數學模型及電腦模擬運算規律。該成果提出的數學模型經國內外查新檢索未發現相似和雷同者,是世界上首個可以供人類實際研究、評估、掌握新型傳染病社會危害的數學模型。
具體評估體系如下:
1、根據新型傳染病的類別、傳播途徑、傳播範圍、致死率、公眾與新型傳染病爆發地距離,以及媒體報導宣傳情況等建立了新型傳染病自身社會威懾力的評價模型:
1
2
3謠言與闢謠兩種力量博弈數學模型:
44
5