定義
閃蒸計算是指在已知系統總組成的情況下,求一定溫度、壓力下,達到平衡的氣液兩相組成與數量之比,它是氣液平衡計算的基本內容之一。
閃蒸計算的意義為液體在某壓力時,此壓力大於或等於其泡點壓力,故液體壓力降低時,會產生閃蒸或部分蒸發現象,產生汽相與液相達成平衡的兩相體系。
計算準備工作
質量平衡方程
閃蒸計算
閃蒸計算
閃蒸計算
閃蒸計算考慮p、T已知,總組成為
的F摩爾的氣液系統,若令V表示組成為的氣相的摩爾數,L表示組成為的液相的摩爾數,可得:(1)總質量平衡方程:;
閃蒸計算(2)各組分質量平衡方程:。
將以上兩個方程聯立,消去L,得:
閃蒸計算
閃蒸計算其中,,稱為氣化率或氣相分率。
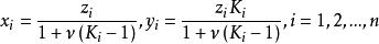
氣相組成和液相組成的關係式
利用上步驟所得方程,計算得氣相組成和液相組成的兩個關係式:
閃蒸計算計算非線性函式f
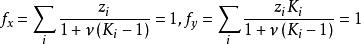
因為氣相或液相摩爾分率加和均為1,把上式均遍及所有組元加和,可得:
閃蒸計算將上述兩式相減,得
閃蒸計算
閃蒸計算
閃蒸計算是的非線性函式,解以上方程要套用數值解法。
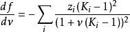
對f進行求導
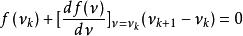
對方程求導即可看出這個方程的優越性,f的求導結果為:
閃蒸計算
閃蒸計算上式恆為負,可見單調減,從而f的計算式適應於能迅速收斂的Newton疊代法計算程式。
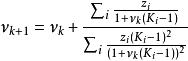
計算通式
Newton法第k次疊代計算的通式
閃蒸計算上述公式中的K值採用活度係數/逸度係數模型中的表達式,可改寫為:
閃蒸計算
閃蒸計算
閃蒸計算上式中的K值包含了氣液平衡的所有熱力學信息,並以複雜的形式與p、T、關聯。由於是對求解,故pT閃蒸計算不可避免地需要疊代計算。
眾所周知,壓力在露點壓力以下,系統以過熱蒸氣的形式存在;壓力在泡點壓力以上,系統則以過冷液體的形式存在;只有壓力在露點和泡點之間,系統才是平衡的氣液混合物。對於總組成已知的系統,由於無法事先知道其在指定溫度和壓力下,是過熱蒸汽、過冷液體、還是平衡的氣液混合物,所以先進行預算,明晰pT閃蒸系統在指定溫度和壓力下的狀態是必要的。
pT閃蒸計算的步驟
下面討論泡點p和露點p的預算以及閃蒸參數初值的確定,進而給出pT閃蒸的計算方程。
泡點p的預算
泡點壓力計算框圖
閃蒸計算
閃蒸計算
閃蒸計算
閃蒸計算在指定溫度T並令的條件下,按照泡點壓力計算的程式框圖(如右圖所示)計算泡點壓力、氣相組分逸度係數以及液相組元活度係數。
露點p的預算
露點壓力計算框圖
閃蒸計算
閃蒸計算
閃蒸計算
閃蒸計算在指定溫度T並令的條件下,按照露點壓力計算的程式框圖(如右圖所示)計算露點壓力、氣相組分逸度係數以及液相組元活度係數。
閃蒸參數初值的確定
閃蒸參數的初值由露點參數和泡點參數內插得到。液相組元活度係數和氣相組元逸度係數的初值分別為:
閃蒸計算
閃蒸計算
閃蒸計算
閃蒸計算考慮到對於泡點,;對於露點,,的初值為:
閃蒸計算pT閃蒸計算方程
利用公式
閃蒸計算
閃蒸計算代入到第k次疊代計算的通式
閃蒸計算
閃蒸計算可得到氣相分率的k次疊代計算通式:
閃蒸計算
