基本介紹
兩底面是矩形、且對應邊平行的擬柱體叫 長方台。長方台在中國古代稱芻童、盤池、冥谷,並在《九章算術》中給出了它的體積計算公式,其公式是擬柱體體積公式的特例 。
長方台
長方台
長方台
長方台圖6中上底長( ),寬( );下底長( ),寬( );高(h)為已給,它的體枳公式是
長方台V
圖1(如圖1)這兩個矩形的面叫做長方台的底面,如圖中的ABCD和A'B'C'D',其餘各叫做長方台的側面如ABB'A'、BCC'B'等,兩底面間的距離叫做和長方台的高,如OO',長方台的各側棱延長後不一定相交於同一點 。
長方台擬柱體 所有頂點都在兩個平行的平面內的多面體稱為“擬柱體”。其中平行的兩個多邊形面稱為擬柱體的底面,其餘的面(一般為三角形、平行四邊形或梯形)稱為擬柱體的側面,兩底面之間的距離稱為擬柱體的高,通過高的中點且平行於底面的截面稱為擬柱體的中截面。設 分別為擬柱體兩底面和中截面的面積,h為它的高,則其體積是
長方台稜柱、稜錐、稜台都可看作擬柱體的特殊情況,它們的體積公式可統一在擬柱體的體積公式中。同樣,長方台也是擬柱體,體積也可藉此公式計算。
【例1】鑄造一個長方台ABCD-A₁B₁C₁D₁如圖,上,下底面是互相平行的矩形,相對側面與底面的夾角相等,已知AB =4,BC=2,A₁B₁=3,B₁C₁=1,高h=2(單位:米),求該長方台的體積。
圖2解法1 (不是稜台——切法) 如圖切兩次。
圖3
長方台解法2 (用擬柱體計算體積的萬能公式)
長方台V
長方台
長方台長方台展開計算
長方台有錐體長方台和非錐體長方台之分,錐體長方台錐線匯交於一點,非錐體長方台又稱敞口矩形台,錐線不匯交一點, 須分別求出各面放樣尺寸作出展開圖。下面分別加以介紹。
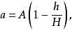
錐體長方台展開計算
圖4所示為錐體長方台,已知尺寸為A、B、H及h。計算式:
圖4(a)
圖4(b)
長方台
長方台
長方台
長方台式中 a——矩形台頂口長邊;
b——頂口短邊。
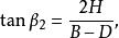
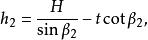
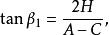
矩形敞口台展開計算
圖5所示為矩形敞口台,已知尺寸為A、B、C、D、H及t。
圖5(a)
圖5(b)計算式:
長方台
長方台
長方台
長方台
長方台
長方台
長方台
長方台史書記載的長方台體積計算
命題 今有芻童,下廣二丈,袤三丈;上廣三丈,袤四丈;高三丈,問:積幾何 ?
術曰:倍上袤,下袤從之;亦倍下袤,上袤從之;各以其廣乘之;並,以高若深乘之,皆六而一。
答曰:二萬六千五百尺。
(《九章算木 商功》第19題)
芻童,中算立體麥用名司,指長方台。
長方台
長方台
長方台
長方台圖6中上底長( ),寬( );下底長( ),寬( );高(h)為已給,它的體枳公式是
長方台V
圖6證明 為術又可令上下廣袤差相乘,以高乘之,三而一,亦四陽馬。上下廣袤互相乘,並而半之,以高乘之,即四面六塹堵與二立方,並之為芻童積,又可令上下廣袤互相乘而半之,上下廣袤又各自乘,並,以高乘之,三而一,即得也 。
(劉徽注芻童術)

