實驗
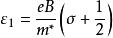
當一個磁場被施加到一個自由電荷的費米體系上時,它們的能量狀態被量化成所謂的朗道能級,由:
量子震盪
量子震盪
量子震盪
量子震盪
量子震盪對於整數值 ,其中 是外部磁場, , 分別是費米子電荷和有效質量。
量子震盪當外部磁場 在孤立系統中增加時,朗道能級擴展,並最終“消失”費米面。 這導致觀察到的最高占據能級的能量振盪,並因此導致許多物理性質(包括霍爾電導率,電阻率和磁化率)。可以測量這些振盪的周期性,並且可以用來確定費米面的橫截面面積。如果磁場的軸以恆定的幅度變化,則觀察到類似的振盪。無論何時朗道軌道接觸費米表面都會發生振盪。通過這種方式,可以映射費米球的完整幾何。
銅礦
通過探針如ARPES對YBa2Cu3O6 + x等未摻雜的銅酸鹽化合物的研究表明,這些相顯示出非費米液體的特性,特別是沒有明確的Landau準粒子。然而,如果這些材料的超導電性受到足夠高的磁場的抑制,這些材料在低溫下就會觀察到量子振盪,這證明了費米子統計學中存在明確定義的準粒子。這些實驗結果與ARPES和其他探針的結果不一致。
量子振盪的頻率及其物理意義
圖1
量子震盪
量子震盪
量子震盪
量子震盪
量子震盪
量子震盪
量子震盪
量子震盪
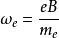
量子震盪在單晶材料中,當 時,其中 是約化普朗克常量。 為迴旋頻率, 為電子電荷量, 為磁場強度, 為迴旋有效質量, 為玻爾茲曼常數, 為溫度,材料的態密度就會隨磁場變化與磁場的倒數呈周期性關係,這就導致了各種與材料態密度相關的物理量出現周期性的振盪現象—量子振盪,諸如電導或電阻隨磁場的變化產生的振盪,磁化率隨磁場的變化產生的振盪等等。根據波爾—索末菲條件,我們可以得 ( 其中 AF為費米面截面的極值) ,所以不同的量子振盪頻率反映著不同的費米面截面的極值。從而通過磁場方向的改變得到不同角度下量子振盪的頻率,就能得到該單晶材料的費米面的形狀 。如果該材料具有多個頻率,則我們應採用快速傅立葉變化( FFT) 來對所得到的量子振盪數據進行分析,如圖一( a) 、( b) 所示。
