簡介
與多數傳統邏輯門不同,量子邏輯門是可逆的。然而,傳統的計算可以只使用可逆的門表示。舉例來說,可逆的Toffoli門可以實做所有的布爾函式。這個門有一個直接等同的量子門,也因此代表量子線路可以模擬所有傳統線路的操作。
量子邏輯門使用酉矩陣表示。就像常見的邏輯門一般是針對一個或兩個比特進行操作,常見的量子門也是針對一個或兩個量子比特進行操作。這也代表這一些量子門可以以2×2或者4×4的酉矩陣表示。
常使用的門
量子門常使用矩陣表示,操作K個量子比特的門可以用2kx2k的酉矩陣表示。一個門輸入跟輸出的量子比特數量必須要相等。量子門的操作可以用代表量子門的矩陣與代表量子比特狀態的向量作相乘來表示。
哈達瑪門(Hadamard gate)
哈達瑪門是只對一個一個量子比特進行操作的門。這個門可以以哈達瑪矩陣表示:

因為矩陣的每一列正交,因此H是一個酉矩陣沒有錯。
泡利-X 門(Pauli-X gate)
泡利-X門操作一個量子比特。這是一個等同邏輯非門的量子門。這個門可以以一個泡利X矩陣表示:

泡利-Y 門(Pauli-Y gate)
泡利-Y門操作單一個量子比特。這個門可以以一個泡利Y矩陣表示:

泡利-Z 門(Pauli-Z gate)
泡利-Z門操作單一個量子比特。這個門可以以一個泡利Z矩陣表示:

相位偏移門(Phase shift gates)
這是一系列操作單一量子比特的門。

這裡的θ代表相位位移。
互換門(Swap gate)
互換門操作兩個量子比特,可以用以下這個矩陣表示:

受控門(Controlled gates)
受控門操作兩個以上的量子比特,其中一個或多個量子比特視為某一些操作的控制比特。這個門可以以以下的矩陣表示:

更普遍地說,如果U是一個操作單一量子比特的門,以以下這個矩陣表示:

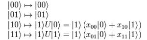
則受控-U門就是操作兩個量子比特的量子門,以第一個量子比特作為控制。操作基本狀態如下:

受控-U門可以以矩陣代表如下:

Toffoli門(Toffoli gate)
Toffoli門是一個操作三個量子比特的,對傳統運算是完備的門。量子的Toffoli門是類同的門,以三個量子比特定義。

萬能量子門
較不正式的說,一個萬能量子門的集合,是一個任何量子線路均可以用這一些門實做出來的集合。也就是說,任何其他的單位操作均可以從這個集合組合出一個有限長度的序列來表示。技術上來說,因為可能的量子門數目是不可數的,而從有限大的集合取出的有限長度的序列則是可數的,所以不可能達成。為了解決這個問題,我們只要求這一個有限大小的集合可以組合出近似任何量子運算的序列。Solovay–Kitaevtheorem保證這一件事情可以有效達成。
一個簡單的,操作兩個量子比特的門,的萬能量子門集合是一個哈達瑪門(H),一個相位偏移門R(п/4),和一個受控非門。
只有單一個量子門的萬能量子門集合可以用一個操作三個量子比特的Deutsch門D(θ)建構出來,Deutsch門它的操作如下:

歷史
現有量子門的記號是Barencoetal.發明的,建立在費曼所提出的記號上。
2013年,中科院量子信息重點實驗室郭國平教授半導體量子晶片研究組及其合作者,通過實驗成功實現世界上最快速量子邏輯門操作,取得半導體量子晶片研究的重要突破。
