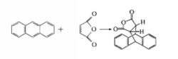
蒽與馬來酸酐的反應
反應式:如圖1。
圖1主要試劑:蒽2g(11.2mmol),馬來酸酐1g(10.2mmol),無水二甲苯。
實驗步驟:在乾燥的50mL圓底燒瓶中加入2g純蒽,1g馬來酸酐和25mL無水二甲苯,然後在燒瓶上連線配有氯化鈣乾燥管的回流冷凝管。加熱回流25~30min,並且在回流過程中間歇振搖燒瓶,使沾在瓶壁上的晶體落回溶液中。反應結束後將反應瓶靜置冷卻至室溫,有大量白色固體析出。抽濾,用無水二甲苯重結晶粗產物,產物放在盛有石蠟片和矽膠的真空乾燥器內乾燥。產量約2g,m.P. 262~263℃(分解)。
純化合物m.P.263~264℃。
注意事項:
①馬來酸酐和生成物遇水會水解成二元酸,因此反應儀器及所用的試劑必須乾燥。
②石蠟能吸收烴類氣體,用它除去吸附在產物中的痕量二甲苯。
③產物應保存在乾燥器內,否則產物會吸收空氣中的水分,發生水解生成二元酸,給測熔點帶來困難。
苯與馬來酸酐的反應
圖2反應式:如圖2。
主要試劑:馬來酸酐5g(51 mmol),苯。
實驗步驟:在通風櫥中,將5g馬來酸酐加入100mL磨口錐形瓶中,再加入50mL乾燥的苯使其完全溶解。蓋上瓶塞並將此錐形瓶置於朝南的窗台上,在陽光下放置數天(放置時間長短依賴於光的強度)。最終光照加成產物無色晶體析出。抽濾收集晶體。待徹底抽乾後,將其置於氮氣中乾燥15min。記錄產率和熔點(產物的熔點大於300℃) 。
與醋酸酐反應生成醋酸酯
圖3醋酸酐是常用的澱粉乙醯化試劑,可以單獨使用,也可與醋酸、吡啶和二甲亞碸結合使用。其化學反應式如圖3。
但在鹼性條件下,也易發生副反應即醋酸酐或醋酸酐澱粉易發生水解。
圖4副反應如圖4。
在用醋酸酐製取低取代度澱粉醋酸酯時,一般先用3%的氫氧化鈉把澱粉懸浮液調到pH7~11,澱粉乳濃度一般為35%~40%。交替加入鹼液和醋酸酐,即加入鹼液使用pH上升到11,再加入醋酸酐使pH降到7,再加入鹼液、醋酸酐。如此反覆操作,直到醋酸酐全部加完為止。保持pH在7—9範圍內。鹼性試劑除氫氧化鈉外,還有氫氧化鉀、氫氧化鈣、氫氧化鎂、碳酸鈉、磷酸三鈉等可採用。反應溫度最好在25—30℃,較高溫度下副反應提高。反應的溫度還與pH相關,在25—30℃,合適的pH為8.8.4。在38℃pH為7,在20℃pH可在8.4以上。反應效率約70%,反應時間一般為1—6h,反應趨向完成時,則pH值變化緩慢。
低取代度的多種醋酸酯在澱粉工業中都有生產,如用玉米、馬鈴薯、木薯、蠟質玉米等澱粉製作的。製備馬鈴薯醋酸酯澱粉較好的工藝為:將澱粉加到1.5倍水中得澱粉乳,加入1.0mol/LNaOH控制pH9一10,加入醋酸酐(於10—20min加完),保持20min反應完成,調pH5.5~6.5,過濾、清洗、乾燥得產品。反應在10℃和20℃進行,結果無甚差別。取代度在0.024以下。
在用醋酸酐製取高取代度澱粉醋酸酯時工業上通常用醋酸酐和醋酸組成的混合酯化劑。在無催化劑存在下。酯化反應較慢。在50℃,反應6h,產物乙醯含量只有4.1%。但當加入催化劑後(1%硫酸),酯化速度大增,同樣條件下乙醯含量達到40.9%。反應速度隨硫酸用量的增高和溫度的上升而加快,同時副反應也增加。
實驗室曾用氮雜苯、液氨、吡啶等活化澱粉,用醋酸酐製備高取代度的醋酸酯澱粉,其中醋酸酐一吡淀法是實驗室進行澱粉乙醯化最常見的方法。該法取代度高,降解度小。通過控制反應時間、溫度和醋酸酐濃度可製備各種取代度的醋酸澱粉。反應前,澱粉先在吡啶中於115℃回流1h活化而不糊化,然後在60%吡啶水溶液中加熱糊化,再添加吡啶共沸脫水,當溫度達到115℃時,添加醋酸酐反應1h,可獲得高取代度(DS:2.3)的醋酸酯澱粉。這也是商業用高取代度澱粉醋酸酯的加工方法。另外還可以在95—100℃下,先使澱粉糊化,高剪下攪拌,再用乙醇沉澱,回收澱粉,並減壓乾燥,然後選擇醋酸酐:吡啶:澱粉之比是3.2:3.7:1,在100 ℃反應1.5~3h就可製得三醋酸酯澱粉(DS=3)。對玉米澱粉採取類似的活化方法,並在沒有吡啶存在下與醋酸酐反應,也可製得澱粉二醋酸酯 。

