歷史
遞歸神經網路是面向自然語言處理(Natural Language Processing, NLP)研究提出的連線主義(connectionist)模型,其早期工作包括循環神經網路的全連線版本Elamn網路 、David Rumelhart和James McClelland提出的互動激勵模型(interactive activation model) 和Alan Kawamoto在雙語詞量接觸(Bilingual lexical access)中建立的語音學階層特徵 。遞歸神經網路在1990年由美國學者Jordan B. Pollack提出以解決語言建模(language modeling)中數據結構的表征問題 。遞歸神經網路的最初版本為平衡的二叉樹結構,但在發展中逐漸轉變為按信息組織結構 。
結構
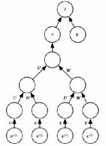
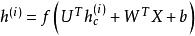
遞歸神經網路遞歸神經網路的核心部分由階層分布的節點構成,其中高階層的節點為父節點,低階層的節點被稱為子節點,最末端的子節點通常為輸出節點,節點的性質與樹中的節點相同。在文獻中,遞歸神經網路的輸出節點通常位於樹狀圖的最上方,此時其結構是自下而上繪製的,父節點位於子節點的下方。遞歸神經網路的每個節點都可以有數據輸入,對第階層的節點,其系統狀態的計算方式如下 :
遞歸神經網路
遞歸神經網路
遞歸神經網路
遞歸神經網路
遞歸神經網路
遞歸神經網路式中為該節點和其所有父節點的的系統狀態(system status),在有多個父節點時,是合併為矩陣的系統狀態,是該節點的數據輸入,若該節點沒有輸入則不進行計算。為激勵函式或封裝的前饋神經網路,後者對應門控算法和一些深度算法。權重係數,注意到權重係數與節點的階層無關,即遞歸神經網路所有節點的權重是共享的 。
遞歸神經網路支持單輸出和多輸出。在單輸出模式下,其最末端子節點的系統狀態會通過輸出函式(例如分類器)得到結果。多輸出模式下遞歸神經網路的輸出取決於拓撲結構,在理論上其任意一個節點的系統狀態都可以參與輸出 。
理論
遞歸神經網路可以使用監督學習和非監督學習理論進行訓練。在監督學習時,遞歸神經網路使用反向傳播算法(Back-probagation, BP)更新權重參數 ,計算過程類似與循環神經網路的隨時間反向傳播(BP Through Time, BPTT)算法。非監督學習的遞歸神經網路被用於結構信息的特徵學習(feature learning),其中最常見的組織形式是遞歸自編碼器(Recursive Auto-Encoder, RAE) 。
算法
長短期記憶
長短期記憶(英語:Long Short-Term Memory,LSTM)是一種時間遞歸神經網路(RNN),論文首次發表於1997年。由於獨特的設計結構,LSTM適合於處理和預測時間序列中間隔和延遲非常長的重要事件。
LSTM的表現通常比時間遞歸神經網路及隱馬爾科夫模型(HMM)更好,比如用在不分段連續手寫識別上。2009年,用LSTM構建的人工神經網路模型贏得過ICDAR手寫識別比賽冠軍。LSTM還普遍用於自主語音識別,2013年運用TIMIT自然演講資料庫達成17.7%錯誤率的紀錄。作為非線性模型,LSTM可作為複雜的非線性單元用於構造更大型深度神經網路。
LSTM是一種含有LSTM區塊(blocks)或其他的一種類神經網路,文獻或其他資料中LSTM區塊可能被描述成智慧型網路單元,因為它可以記憶不定時間長度的數值,區塊中有一個gate能夠決定input是否重要到能被記住及能不能被輸出output。
右圖底下是四個S函式單元,最左邊函式依情況可能成為區塊的input,右邊三個會經過gate決定input是否能傳入區塊,左邊第二個為input gate,如果這裡產出近似於零,將把這裡的值擋住,不會進到下一層。左邊第三個是forget gate,當這產生值近似於零,將把區塊里記住的值忘掉。第四個也就是最右邊的input為output gate,他可以決定在區塊記憶中的input是否能輸出 。
LSTM有很多個版本,其中一個重要的版本是GRU(Gated Recurrent Unit),根據谷歌的測試表明,LSTM中最重要的是Forget gate,其次是Input gate,最次是Output gate。
結構遞歸神經網路(Recursive)
結構遞歸神經網路是一類用結構遞歸的方式構建的網路,比如說遞歸自編碼機(Recursive Autoencoder),在自然語言處理的神經網路分析方法中用於解析語句。

