簡介
在經典電動力學中,將描述電磁波的勢所滿足的一個微分方程組稱作 達朗貝爾方程(英文: d'Alembert equation)。達朗貝爾方程是一個非齊次的波動方程。
形式
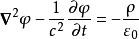
達朗貝爾方程的形式如下:
達朗貝爾方程
達朗貝爾方程
達朗貝爾方程其中 為磁矢勢, 為電勢,c為真空光速。
波動方程
波動方程或稱 波方程(英語: wave equation)是一種重要的偏微分方程,主要描述自然界中的各種的波動現象,包括橫波和縱波,例如聲波、光波、無線電波和水波。波動方程抽象自聲學、物理光學、電磁學、電動力學、流體力學等領域。
歷史上許多科學家,如達朗貝爾、歐拉、丹尼爾·伯努利和拉格朗日等在研究樂器等物體中的弦振動問題時,都對波動方程理論作出過重要貢獻。1746年,達朗貝爾發現了一維波動方程,歐拉在其後10年之內發現了三維波動方程。
