簡介
道路視距,是駕駛者目視前方道路或路上障礙物時汽車沿車道安全行駛所需的最短距離。分停車視距和超車視距,前者指駕駛者(現行計算方法中視線高取車道中心線以上1.20m)由發現前方路上障礙物(物高為0.10m)時起。至行車能在障礙物前安全停車時止所需的最短距離。超車視距是指在雙向行車的雙車道道路上,後車超越前車從開始駛離原車道時起,至可見逆向駛來車輛並能安全超越前車後駛回原車道時止,所需之雙向車輛行駛的最短距離。設中央隔離帶(分隔帶、分道線或分隔柱)的道路,應滿足停車視距的要求,無車道隔離設施的雙向行車道路上應滿足會車要求。會車視距的長度不應小於停車視距的兩倍。各級道路的視距長度,主要是取決於計算行車速度。
停車視距
停車視距(又叫普通視距),是在駕駛員發現道路前方有障礙物時,為防止車輛與障礙物碰撞所必需的制動停車視距。
駕駛員從發現有障礙物到開始制動的時間叫駕駛員反應時間(一般在0.8~1.5s之間)。在這段時間內,車輛的運行距離與從制動開始到車輛停止的時間內車輛運行距離之和叫制動停車距離。制動停車距離應小於或最大也不得超過停車視距,才能保證安全停車。
超車視距
超車視距是指在雙車道,在允許超車的地方,為了不致與對向車輛相撞所應該具有的視距。超車視距又分為全超車視距和最小超車視距。全超車視距是指超越車輛開始超車加速時,在原車道的位置與對向車的距離;最小超車視距是指超越車輛通過超車加速進入對向車道後與對向車的距離。
在計算超車視距時,應構想以下幾種情況:
(1)被超越車輛總是以一定的速度運行。
(2)直到超越前為止,超越車輛以相同的速度跟隨被超越車輛。
(3)超越車輛的駕駛員在開始超越前需要一定的時間用來判斷與決定這一超越行動。
(4)在超越過程中,超越車必須加速。
(5)超越車與對向車速度相同。
道路視距如圖所示.超車過程可分為四個階段:
①超越車輛從開始加速至運行到對向車道,超越車輛所運行的距離設為d。
②超越車在對向車道上的運行距離設為d。
③超越車在超越完了時與對向車的距離設為d。
④超越車在對向車道上運行的時間內對向車向前運行的距離設為d。
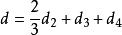
設超越車在對向車道上運行的時間為t。超越車在加速時從開始改變車道到駛入對向車道的時間為1/3t,在這段時間內如果,超越車發現了對向車還可以退回到原來的車道,剩下的1/3t的時間是超越車在對向車道接近對向車的時間,這個時間也是對向車接近超越車的時間.在這個時間內,對向車向前運行的距離為d,則:
道路視距根據上述分析設全超車視距為D,則:
道路視距最小超車視距為d,則:
道路視距