概念
控制系統受到擾動作用後,被控變數從原穩定狀態回復到新的平衡狀態所經歷的最短時間。理論上過渡時間為無限長,在實際套用時,規定只要被控變數進入新的穩態值的±5%(±2%)的範圍而且不在越出時為止所經歷的最短時間。
意義
過渡時間(調節時間)可以反映系統回響速度和阻尼程度的綜合指標。
常用算法
對於常用的二階欠阻尼控制系統,過渡時間的簡化算法如下:
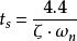
過渡時間誤差取0.05: ;
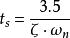
過渡時間誤差取0.02: 。
過渡時間其中,ζ表示系統的阻尼比, 表示系統的自然頻率(無阻尼振盪頻率)。

過渡時間,即調節時間ts,指控制系統受到擾動作用後,被控變數從原穩定狀態回復到新的平衡狀態所經歷的最短時間。
控制系統受到擾動作用後,被控變數從原穩定狀態回復到新的平衡狀態所經歷的最短時間。理論上過渡時間為無限長,在實際套用時,規定只要被控變數進入新的穩態值的±5%(±2%)的範圍而且不在越出時為止所經歷的最短時間。
過渡時間(調節時間)可以反映系統回響速度和阻尼程度的綜合指標。
對於常用的二階欠阻尼控制系統,過渡時間的簡化算法如下:
過渡時間誤差取0.05: ;
過渡時間誤差取0.02: 。
過渡時間其中,ζ表示系統的阻尼比, 表示系統的自然頻率(無阻尼振盪頻率)。
過渡經理是企業管理的一個比較新的職務,他們在一個較短的時期里介入管理、解決問題、進行操作或者填補企業管理結構中的突然出現的職位空缺。”——瑪格利特·科利斯。
基本簡介 出現原因 管理模式 具體作用 面臨挑戰因國家政權變更、通貨膨脹等原因,由郵政部門發行的臨時郵票,以作正式郵票發行前過渡使用。
簡介 香港過渡郵票 瑞士過渡郵票過渡軌道,太空飛行器從初始軌道或停泊軌道轉移到預定目標軌道的中間軌道,又稱轉移軌道。
過渡軌道 配圖 相關連線《桃花過渡》為潮劇傳統劇目《蘇六娘》中一折,充分表現了桃花聰明伶俐及渡伯善良風趣、熱心助人的性格特點,富有人情味和地方特色。
劇情簡介 唱詞內容一個句子承接或總結上面的內容,同時提示或領起下面的內容,這個句子就是過渡句。過渡句是一種常見的句式,一般在作文里出現,在兩個內容的接駁處之中,起到承上啟下的作用。
定義 作用 常見形式 範文示例電路由一個穩定狀態過渡到另一個穩定狀態所經歷的過程稱為過渡過程。電路穩定狀態的改變是由於電路的接通、斷開、短接、改接、電源電壓或電路元件參數的改變等各種...
產生 換路定律 實際意義群叢是一種植物群落分類的單位,過渡群叢則是在一個大群落中連續聚集很多小群落而造成一種生態學上稱之為的過渡群落,即過渡群叢。
過渡群叢概念 過渡群叢研究進展 過渡群叢主要區域分布 植被類型 過渡群叢植被特點文章中用一定詞或詞組,提示前後意思之間的聯繫,將他們有機聯繫起來,自然而然的由上文轉入下文,這就是過渡詞;用於兩句或兩段間的連線。
中文過渡詞 英文過渡詞過渡塗料採用高純度矽酸鹽溶液精細加工而組成,液體狀態,耐溫可達1700℃,在常溫和高溫下無任何揮發性氣味。
