釋義
過剩污泥曝氣池中的生化反應引起了微生物的增殖,增殖的微生物量通常從二次沉澱池排出,以維持活性污泥系統的穩定運行,這部分污泥叫過剩污泥。
特性
(1)含水率高,一般為99%~99.5%,相對密度接近於1。
(2)揮發性固體含量高,幾乎都是有機物。
來源
過剩污泥來源於廢水處理過程中過剩活性污泥或生物膜,其顏色常為灰色或深灰色,相對密度比水稍大、顆粒較細、含水率較高且脫水性能較差。它主要是由具有活性的微生物、微生物自身氧化殘餘物、附在活性污泥表面上尚未降解或難以降解的有機物和無機物四部分組成。其中以活體微生物為最主要的組成部分,它包括細菌、真菌、原生動物和後生動物等名種微生物。
生成
從世界範圍來看.隨著各國環境、土地及食品條例的嚴格化、標準化。污泥去途受到越來越多的限制,污泥處理費用不斷上升。歐共體已經決定在2002年底將禁止污泥排海。目前,過剩污泥的處理費用已經占整個污水處理費用的25%~65%.並呈現逐年上升趨勢。如何控制過剩污泥的產生及發展污泥減量化技術已成為當務之急。特別是歐美各國在這一研究領域投入了大量的人力及物力。
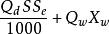
過剩污泥量的計算方法
過剩污泥量是每天從SBR系統中排出的污泥量,它包括兩部分:一部分隨出水流出;一部分排至污泥處理系統,其表達式如式:
過剩活性污泥△X=
式中:
△X—污水處理廠1d的過剩污泥產量(kg/d);
過剩活性污泥—污水處理廠最高日進水流量(m³/d);
過剩活性污泥—出水懸浮固體濃度(mg/L);
過剩活性污泥—污水處理廠排至污泥處理系統的過剩污泥量(m³/d);
過剩活性污泥—排至污泥處理系統的過剩污泥濃度(gMLSS/L);
過剩污泥的處理方法
污水處理過程中產生的過剩污泥具有含水率高、易腐爛、有惡臭、含有大量寄生蟲卵和病原微生物等特點,如不加以妥善處理,任其排放,將會造成二次污染。污泥的處理主要包括濃縮、脫水、穩定化和最終處置四個步驟。
(1)濃縮。沉澱池出來的過剩污泥含水率很高,可達到99%以上,通過濃縮可以提高污泥濃度,縮小體積,一般作為脫水的預處理,用於初步降低污泥的含水率。濃縮後污泥的含水率一般為95%~97%。根據泥渣相對密度的不同分為重力濃縮和氣浮濃縮兩種。
重力濃縮適用於相對密度較大的污泥處理,其原理是依靠污泥本身的質量使其不斷下沉,然後通過排除上清液以達到分離濃縮的目的,具體可分為間歇式和連續式兩種。間歇式是在池壁不同高度設定上清液排出管,排出上清液,然後再從池底排出泥渣。連續式是連續運行的,處理能力較大,污泥由中心筒進入,澄清水及泥渣分別由溢流堰和池底排出。為提高濃縮池效率,在池內增設斜板,可提高處理能力1.6~2.8倍。
氣浮濃縮是依靠鼓人泥渣池內氣體的作用,使相對密度較小(接近於1)的輕質泥渣隨著氣體一起上浮從而達到濃縮的目的。
(2)脫水。脫水是在濃縮的基礎上,進一步降低污泥的含水率,以便於污泥運輸和處置,減少對環境的危害。脫水後污泥的含水率可降低至55%~85%。根據是否需要外力介入,脫水可分為機械脫水和自然脫水兩類。機械脫水根據原理可分為真空抽濾、壓濾和離心脫水3種,其中帶式壓濾機是目前城市污水處理廠中套用最多的污泥脫水裝置。自然脫水是依靠自然的蒸發和風化作用使泥渣中的水分脫除,分為乾化場和重力脫水罐兩種。
(3)穩定化。污泥中一般含有多種有機物,濃度又高,容易進一步分解而給環境造成危害,污泥穩定化就是通過微生物或化學作用,降低污泥中有機物含量,或使其暫時不產生分解的措施。穩定化分為生物穩定化和化學穩定化兩類。生物穩定化主要是通過微生物的作用加速污泥中有機污染物的分解,使污泥逐步穩定的過程。化學穩定化是通過向污泥中投加化學藥劑,來抑制或殺滅污泥中的微生物,消除污泥可能對環境造成的危害(產生惡臭及傳染疾病),投加的藥劑主要有石灰和液氯。
(4)最終處置。經過穩定化處理的污泥如果不含有有毒有害物質,且符合衛生要求,則可根據需要用於農副業的生產,否則需要作為固體廢棄物進行最終處置,如進行填埋或焚燒。

