反饋校正
反饋校正是通過在系統的某一部分引入反饋來改善系統性能的,因此又稱局部反饋。
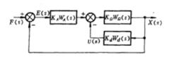
圖是最基本的反饋校正系統框圖。
反饋校正系統器
速度反饋控制
速度反饋控制
速度反饋控制
速度反饋控制
速度反饋控制其中,是反饋網路的傳遞函式;是跨接反饋網路的部分傳遞函式,,便是內迴路的傳遞函式;是其餘部分的傳遞函式。通常總是將反饋校正網路跨接在系統中時間常數最大的部件(如功率放大和驅動電機)上,以取得更顯著的校正效果。
從反饋校正的這種結構,可以看出它具有以下特點:
•首先,可以有效地抑制作用在內迴路各元件上的各種擾動,減小元件參數變化和非線性特性對系統性能的影響,這與讀者熟知的反饋放大器的特點是一致的;
•其次,可以分別調整前向通道和反潰通道的參數,以期單獨改變系統某一方面的性能;
•另外,由於反饋校正信號是從高功率點向低功率點傳遞,通常可不必另加放大器。
除此之外,在串聯校正中,由於串入校正網路,使原系統開環傳遞函式增加了零、極點,並以此來改善系統性能,通常,這也增加了系統的階次;然而,從以下的分析可以看出,反饋校正不是依靠增加系統的零、極點,而是由所構成的內迴路來改變開環極點的位置(極點配置),從而改善系統性能。進一步分析(第八章)證明,合理地反饋受控系統的全部狀態變數,理論上講可以使反饋極點配置在任意希望的位置上。
速度反饋
控制系統中通常採用反饋放大器作為前級元件。這種將元件輸出的全部或部分直接反饋到元件輸入端的方法稱為硬反饋。但是,在系統中構成反饋校正時廣泛採用軟反饋。也就是說,反饋校正信號不是直接比例於系統的輸出信號,而是將輸出信號經過相應網路的加工而得到。
在位置控制系統中,輸出信號的一次導數是輸出軸的轉速,二次導數是輸出軸的角加速度。相應的反饋分別稱為速度反饋和加速度反饋。以輸出信號的一次導數為例,由於
速度反饋控制因此,速度反饋實質上就是在系統的控制作用中加入誤差信號的微分項。
在速度反饋系統中,通常用轉速計(測速發電機)作校正元件。將它的轉軸和執行電機轉軸相連線,它的輸出電壓
速度反饋控制(Kb是轉速計的傳遞係數),作為反饋校正信號進入前向通道中功率放大器的輸入端。
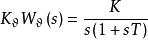
在上面提到過的圖中,假設功率放大、執行電機的傳遞函式為
速度反饋控制這是導前網路。它說明一次微分反饋校正(速度反饋校正)等效於串聯導前網路校正。
以上分析表明,對於I型位置控制系統而言,引入速度反饋後仍是I型系統,當輸入為位置信號時,系統的穩態誤差為零。事實上,系統達到穩態後輸出軸靜止,速度反饋信號為零。
但是,速度反饋使傳遞係數下降,當輸入信號為時間的函式時,例如輸入斜坡函式時,穩態誤差將比校正前加大。可見,速度反饋信號進入主通道後,除了誤差信號的導數項之外,還要減去輸入信號的導數項,當輸入為斜坡信號時它為常數,它減弱了控制信號,使系統穩態誤差加大。
速度反饋控制
速度反饋控制
速度反饋控制為了減小速度反饋對系統精度的影響,可在轉速計之後串入濾波器,以濾除。由於輸入信號一般比誤差信號變化緩慢,因此應採用高通濾波器,使以通過而濾除。
常用的高通濾波器是RC微分網路。轉速計後串接一節高通濾波器的電路如圖所示。
速度反饋控制速度反饋控制
將輸出量的速度信號採用負反饋形式反饋到輸入端並與誤差信號比較,構成的迴路稱為速度反饋控制。如果輸出量是機械角位移,可採用測速電機將機械量轉換成正比於輸出速度的電信號,從而獲得速度反饋。
反饋控是指控制論的一個基本概念。指作為被控的輸出以一定方式返回到作為控制的輸入端,並對輸入端施加控制影響的一種控制關係。在控制論中,反饋通常指輸出端通過“旁鏈”方式回饋到輸入,所謂反饋控制。輸出端回饋到輸入端並參與對輸出端再控制,這才是反饋控制的目的,這種目的是通過反饋來實現的。
速度反饋控制反饋控制是根據控制對象輸出反饋來進行校正的控制方式,它是在測量出實際與計畫發生偏差時,按定額或標準來進行糾正的。反饋控制,從輸出量變化取出控制信號作為比較量反饋給輸入端控制輸入量,一般這個取出量和輸入量相位相反,所以叫負反饋控制,自動控制通常是反饋控制。比如家用空調溫度的控制。
負反饋
將一個系統的輸出信號的一部分或全部以一定方式和路徑送回到系統的輸入端作為輸入信號的一部分,這個作用過程叫——反饋。按反饋的信號極性分類,反饋可分為正反饋和負反饋。
若反饋信號與輸入信號極性相同或變化方向同相,則兩種信號混合的結果將使放大器的淨輸入信號大於輸出信號,這種反饋叫正反饋。正反饋主要用於信號產生電路。反之,反饋信號與輸入信號極性相反或變化方向相反(反相),則疊加的結果將使淨輸入信號減弱,這種反饋叫負反饋放大電路和自動控制系統通常採用負反饋技術以穩定系統的工作狀態。
負反饋的取樣一般採用電流取樣或電壓取樣。因為負反饋有其獨特的優點,在實際放大器中得到了廣泛的套用,它改變了放大器的性能。採用負反饋使得放大器的閉環增益趨於穩定,消除了開環增益的影響。電子線路中阻抗匹配是一重要問題,負反饋還影響著放大器輸入和輸出阻抗,電壓混合使輸入阻抗增高,電流混合使輸入阻抗降低; 電流取樣使輸出阻抗增高,電壓取樣使輸出阻抗降低。利用負反饋還可大大減少放大器在穩定狀態下所產生的失真,並可減弱放大器內部各種干擾電平。利用負反饋還可展寬放大器的頻帶,使得放大器的幅頻特性變得比較平坦。因此,負反饋可大大提高放大器的放大質量,改善許多性能指標,而且反饋越深,改善的程度也愈大,但過深的負反饋又可能引起放大器不能正常工作而導致自激,因而一個穩定的負反饋放大器通常不超過三級。
1. 振盪器的一部分輸出在使振幅減小的方式下向輸入的返回。
2. 指受控部分發出反饋信息,抑制或減弱了控制部分的活動。
3.負反饋是指反饋信息與控制信息的作用性質相反的反饋
4..若反饋的作用是減弱反射中樞對效應器的影響,稱為負反饋,反饋信息為負。在一個閉環系統中,控制部分活動受受控部分反饋信號(S5)的影響而變化,若S5為負,則為負反饋。其作用是輸出變數受到擾動時系統能及時反應,調整偏差信息(Sc),以使輸出穩定在參考點(Si)。
原理
當受控客體受干擾的影響,其實現狀態與期望狀態出現偏差時,控制主體將根據這種偏差發出新的指令,以糾正偏差,抵消干擾的作用。在反饋控制中,由於控制主體能根據反饋信息發現和糾正受控客體運行的偏差,所以有較強的抗干擾能力,能進行有效的控制,從而保證預定目標的實現。管理中所實行的控制大多是反饋控制,所用的控制原理主要是反饋原理。這種控制如果我們把輸入值用x表示,輸出值用y表示,客體的功能用s表示,控制系統也即反饋系統的作用用R表示,偏差信息用△x表示,
則有:y=S(X+△X)=S(X+Ry)=SX+SRy
式中R稱反饋因子或控制參數,它反映反饋控制系統的反饋功能或控制功能。
表現形式
反饋控制在各種控制實例中有具體的表現方式:
正反饋與負反饋是反饋控制常見的兩種基本形式。其中負反饋與正反饋從達到目的的角度講具有相同的意義。從反饋實現具體方式來看,正反饋與負反饋屬於代數或者算術意義上的“加減”反饋方式,即輸出量回饋至輸入端後,和輸入量進行加減的統一性整合後,作為新控制輸出,去進一步控制輸出量。實際上,輸出量對輸入量回饋遠不止這些方式。這表現為:運算上,不僅僅是加減運算,還包括了更廣域的數學運算;回饋方式上,輸出量對輸入量回饋,也不一定採取和輸入量進行綜合運算形成統一的控制輸出,輸出量能通過控制鏈直接施控於輸入量等等。
作用
可見,引入比例一微分控制加大了系統的等效阻尼比,從這一點來理解,比例一微分控制有如下特點:
(1)引入比例微分控制,使系統阻尼比增加,從而抑制振盪,使超調減弱,改善了系統平穩性;
(2)引入誤差信號的微分控制,系統的反饋傳遞函式出現一個零點,將會加快系統回響速度,使上升時間縮短,峰值提前,又削弱了“阻尼”作用。因此,適當選擇微分時間常數,使系統具有過阻尼,則回響將在不出現超調的條件下,顯著提高快速性。
採用速度反饋後系統性能得到如下改善:
(1)速度反饋使阻尼增大,振盪和超調減小,改善了系統平穩性;
(2)速度負反饋控制的反饋傳遞函式無零點,所以其輸出回響的平穩性與反饋係數K。的關係簡單,易於調整;
(3)環節Ks的加入,會使系統開環放大係數降低,會引起系統在跟隨斜坡輸人時的穩態誤差加大。所以,在設計速度反饋控制系統時,應適當提高系統的開環增益,以補償速度反饋引起的開環增益損失,同時適當選擇反饋係數K。,使阻尼比比較合適,從而使各項性能指標均符合要求。
交流電梯和速度反饋控制方式
交流電梯主要是通過逐次短路與感應電動機串聯的電阻和電抗器,進行電阻觸點控制。這個方式具有運行時間隨載荷而變化,乘坐舒適感不好,及平層誤差大,並且穩定性差等缺點。為了改善這些缺點,可以在交流電梯上採用和前述直流電梯一樣的速度控制方式。
隨著晶體三極體、可控矽和積體電路等半導體技術的高速發展,使用半導體器件控制感應電動機在技術和價格方面都進入了實用階段,並也在電梯行業上得到了套用。從1973年起也在標準型電梯中開始使用了。
下圖表示出三菱電機採用的速度反饋控制方式的框圖。
速度反饋控制由電動機軸帶動測速發電機檢測出轎廂的速度,把它同速度信號發生器發出的給定電壓相比較得到正或負的電位差,使轉換放大器動作。
當電位差為正時,經過起動觸發迴路,使起動控制部分的可控矽導通,在電動機中加進對應於正電位差的電壓。
當電位差為負時,經過制動觸發迴路,使制動控制部分的可控矽工作,在電動機中加進對應於負電位差的電壓。
這樣,根據給定電壓和速度反饋電壓之差的大小,可以控制可控矽的導通角,來控制電動機的輸入電壓,如圖所示。表是採用速度反饋控制方式的交流電梯的載重量和速度。
速度反饋控制
採用速度反饋控制方式的交流電梯的載重量和速度控制擴展
開環控制沒有反饋環節,系統的穩定性不高,回響時間相對來說很長,精確度不高,使用於對系統穩定性精確度要求不高的簡單的系統,開環控制是指控制裝置與被控對象之間只有按順序工作,沒有反向聯繫的控制過程,按這種方式組成的系統稱為開環控制系統,其特點是系統的輸出量不會對系統的控制作用發生影響,沒有自動修正或補償的能力。
閉環控制有反饋環節,通過反饋系統使系統的精確度提高,回響時間縮短,適合於對系統的回響時間,穩定性要求高的系統。
半閉環控制系統是在開環控制系統的伺服機構中裝有角位移檢測裝置,通過檢測伺服機構的滾珠絲槓轉角間接檢測移動部件的位移,然後反饋到數控裝置的比較器中,與輸入原指令位移值進行比較,用比較後的差值進行控制,使移動部件補充位移,直到差值消除為止的控制系統。這種伺服機構所能達到的精度、速度和動態特性優於開環伺服機構,為大多數中小型數控工具機所採用。
