基本概念
截止頻率是指一個系統的輸出信號能量開始大幅下降(在帶阻濾波器中為大幅上升)的邊界頻率。電子濾波器等信號傳輸通道中的諸如低通、高通、帶通、帶阻等頻帶特性都套用了截止頻率的概念。截止頻率有時被定義為電子濾波器的導通頻帶和截止頻帶的焦點,例如電路標稱輸出信號減3分貝的位置的頻率。在帶阻濾波器中,截止頻率則被定義在輸出信號能量大幅上升(或大幅下降)、失去“阻止”(或失去“通過”)信號效果的位置。在波導管或者天線的例子中,截止頻率通常包括上限頻率和下限頻率。
截止頻率的概念除了在電子工程有廣泛套用,截止頻率的概念還在等離子區振盪中有所套用。
通帶截止頻率通帶截止頻率
通帶截止頻率是濾波器中的帶通濾波器的截止頻率。帶通濾波器是只允許ƒ1——ƒ2間的頻率成分通過,其他頻率成分衰減為零。
不同濾波器的截止頻率
低通濾波器的截止頻率
無論是什麼樣的濾波器,一般都是指-3db的位置,也就是說從濾波器的通帶的增益算起,下降-3db的位置。由於db的計算公式是20*log10(x),x為信號某一個頻率上真正的幅值,所以稍加計算可得,-3db實際相當於頻率增益下降到了原來的0.707,而不是一半。
對於低通濾波器,是低於某個頻率為通帶,高於某個頻率為阻帶。如果要輸入9.5KHz~1.5KHz的方波,則9.5KHz~1.5KHz這些頻率必須在通帶之內,所以濾波器的截止頻率要高於9.5KHz。
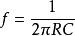
高通濾波器的截止頻率
通帶截止頻率上圖所示為一個一階的高通濾波器。它的截止頻率由下式決定:
通帶截止頻率當信號頻率高於這個截止頻率時,信號得以通過;當信號頻率低於這個截止頻率時,信號輸出將被大幅衰減。這個截止頻率即被定義為通帶和阻帶的界限。
低通濾波器是阻止大於截止頻率的信號通過。高通濾波器是阻止小於截止頻率的信號通過,二者組合就會得到帶通濾波器。其他的濾波器基本都是在 RC 基本濾波器的基礎上衍生出來的。
帶通濾波器的截止頻率與通頻寬度
帶通濾波器的振幅(功率)-頻率關係曲線上圖所示的是一個帶通濾波器的波德圖。如圖所示,fl和fr分別為低頻、高頻信號功率降低一半的點,即上下限截止頻率,兩個截止頻率中間的頻率範圍稱作“通頻寬度”,通帶中心的頻率f0稱作“中心頻率”。通帶範圍內頻率的信號可以通過,頻率位於截止頻率兩側的信號則大幅衰減。
